05/12/2025
TÓM TẮT
Dưới sức ép của gia tăng dân số và phát triển kinh tế đã tác động lớn đến môi trường, đặc biệt là môi trường nước mặt. Sự phát triển kinh tế - xã hội (KT - XH) kéo theo vấn đề xả thải gây ô nhiễm môi trường (ÔNMT). Nghiên cứu này được thực hiện nhằm mục đích đánh giá sức chịu tải nguồn nước mặt trên địa bàn tỉnh Vĩnh Long (tỉnh Bến Tre cũ) và dự báo đến năm 2030 trong mối quan hệ phát thải từ các hoạt động KT - XH và biến đổi khí hậu (BĐKH). Nhóm tác giả ứng dụng mô hình thủy động lực học (MIKE 11) để xác định trường dòng chảy và trường độ sâu cột nước, đồng thời kết hợp Module sinh thái (MIKE ECOLab) để tính toán chất lượng nước (CLN) sông Vĩnh Long dưới tác động của con người và môi trường. Kết quả mô phỏng lan truyền các chất cho thấy, nồng độ BOD trung bình 6,78 mg/l, DO là 5,53 mg/l, NH4+-N là 0,62 mg/l, NO3--N là 1,52 mg/l, PO43--N là 0,18 mg/l, Coliform là 3,84 MPN, nhiệt độ là 21,7 oC và những kết quả này phù hợp với tính toán, thực đo. Thời gian mặn mô phỏng kịch bản vào năm 2025 và 2030 bắt đầu từ tháng 2, kết thúc vào tháng 4, khả năng mặn theo dòng chảy mực nước biển tăng cao vào sâu trong đất liền qua các năm hoàn toàn có thể xảy ra với cường độ lớn.
Từ khoá: Bến Tre, Vĩnh Long, MIKE 11, ECOLab, CLN.
Ngày nhận bài: 7/10/2025; Ngày sửa chữa: 28/10/2025; Ngày duyệt đăng: 7/11/2025.
Application of MIKE and ECOLab models to simulate the dispersion of pollutants in the river system of Vinh Long province the former Ben Tre province)
Abstract:
Under the pressure of population growth and economic development, the environment -particularly surface water - has been significantly affected. Socio-economic (SE) development has led to an increase in wastewater discharge, causing environmental pollution. This study aims to assess the surface water carrying capacity in Vinh Long Province (formerly part of Ben Tre Province) and forecast conditions to the year 2030 in relation to emissions from SE activities and climate change (CC). The research team applied the hydrodynamic model MIKE 11 to determine the flow field and water column depth, in combination with the MIKE ECOLab ecological module to calculate water quality in the Vinh Long River under the influence of both human activities and environmental factors. Simulation results of pollutant dispersion showed that the average concentrations were as follows: BOD - 6.78 mg/L, DO - 5.53 mg/L, NH4⁺-N - 0.62 mg/L, NO3⁻-N - 1.52 mg/L, PO43⁻-N - 0.18 mg/L, Coliform - 3.84 MPN, and temperature - 21.7°C. These results are consistent with both calculated and field-measured data. The simulated salinity intrusion scenarios for 2025 and 2030 indicate that salinity begins in February and ends in April, with a potential for increasingly severe inland salinity intrusion due to rising sea levels over the years.
Key word: Ben Tre, Vinh Long province, MIKE 11, ECOLAB, water quality.
JEL Classifications: O44, P18, Q55, Q56.
1. GIỚI THIỆU
Trong những năm gần đây, Bến Tre đang chuyển dịch cơ cấu kinh tế sang công nghiệp và dịch vụ, khiến chất lượng môi trường nước mặt bị ảnh hưởng. Các hoạt động phát triển KT - XH của tỉnh đang thải ra một lượng lớn nước thải sinh hoạt (NTSH), công nghiệp, chăn nuôi, nuôi trồng thủy sản (NTTS)… gây ÔNMT nước. Nghiên cứu này tập trung mô phỏng, tính toán, dự báo diễn biến CLN, lan truyền chất (BOD, DO, PO43-, NO3-, NH4+) cho hệ thống sông rạch tại địa phương đến năm 2030 trong mối quan hệ với gia tăng dân số, phát triển KT - XH có xem xét yếu tố BĐKH, nước biển dâng theo các kịch bản phát thải khác nhau. Trường hợp sông bị nhiễm mặn, ảnh hưởng thủy triều và dòng chảy từ thượng nguồn sẽ làm cho tốc độ dòng chảy, hoạt động thủy lực giảm, tạo điều kiện cho lắng đọng trầm tích, tích tụ các chất ô nhiễm. Những tác động này đã làm giảm khả năng tự làm sạch của sông (Nguyen Hai Au, Nguyen Thi Tinh Au, 2024).
Có nhiều phương pháp được áp dụng với độ tin cậy cao, sử dụng để đánh giá CLN vùng sông, cửa sông, ven biển và một trong số đó là phương pháp mô hình hóa. Mô hình toán có thể mô phỏng diễn biến CLN theo không gian và thời gian; quá trình tác động, biến đổi môi trường nước; đưa ra những dự báo kịp thời để giải quyết sự cố ÔNMT nước. Hiện có nhiều mô hình CLN thương mại, nguồn mở được sử dụng trên thế giới như: MIKE, WASP7, QUAL2K, EFDC, SWAT, QUASAR, SIMCAT (Cole M., Lindeque P. et al., 2011; Obin N., Tao, H. et al., 2021; McBean E., Bhatti, M. et al., 2022; Tsakiris G., Alexakis D., 2012; Nguyễn Việt Hưng, Lê Thị Phương Trúc, 2022). Trong đó, MIKE 11 là mô hình thủy động lực một chiều với 2 modul (HD, AD), hiện là mô hình tiên phong với nhiều ứng dụng thành công trên thế giới (DHI, 2014. MIKE 11 - Ref; DHI, 2014. MIKE 11 - Short Introduction Tutorial; DHI, 2014. MIKE 11 - User Manual; rần Hữu Thế & cs, 2022; Hoàng Thị An & cs, 2022). Ở Việt Nam điển hình là xây dựng hệ thống dự báo CLN (Nguyễn Việt Hưng, Lê Thị Phương Trúc, 2022); nghiên cứu kết hợp mô hình thủy lực và mô hình trí tuệ nhân tạo trong mô phỏng CLN (Hoàng Thị An & cs, 2022); nghiên cứu đánh giá CLN sông, hồ (Lê Ngọc Cầu, Lê Văn Quy, Phạm Thị Quỳnh, 2022; Lê Ngọc Cầu, Ngô Thị Vân Anh & cs, 2022); phân vùng CLN tại các khu vực đầm phá (Nguyễn Huy Anh, Nguyễn Đăng Nhã Uyên, Nguyễn Văn Hồng, 2022); đánh giá sức chịu tải của nguồn nước, lưu vực sông đã rất phát triển (Lê Ngọc Tuấn, Đoàn Thanh Huy, 2021).
2. PHƯƠNG PHÁP NGHIÊN CỨU
2.1. Phương pháp quan trắc, phân tích mẫu nước mặt
Nghiên cứu đã tiến hành quan trắc lấy mẫu phân tích CLN sông, kênh rạch chính: 5 vị trí sông rạch chảy qua thành phố và các thị trấn; 4 vị trí tại khu vực sông cấp nước cho các nhà máy nước; 6 vị trí kênh nội đồng; 4 vị trí tại các hồ của tỉnh. Tần suất lấy mẫu: 2 đợt (1 đợt mùa khô và 1 đợt mùa mưa). Tổng số mẫu: 48 mẫu. Thông số quan trắc áp dụng QCVN 08:2015/BTNMT - Quy chuẩn kỹ thuật quốc gia về CLN mặt, cụ thể: Thông số đo hiện trường: Nhiệt độ, pH, DO; thông số phân tích trong phòng thí nghiệm: TSS, BOD5, COD, NH4+, NO3-, NO2-, tổng Coliform, Ecoli, PO43-, Fe, tổng dầu mỡ, ô xy hòa tan (DO), độ đục, Cu, Zn, Ni.
2.2. Phương pháp mô hình hóa
2.2.1. Mô hình thủy lực
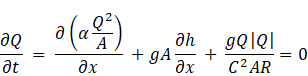
Để tính toán mô phỏng chế độ dòng chảy sông, mô hình MIKE 11 dựa trên cơ sở giải hệ phương trình Saint-Venant được thiết lập, bao gồm 2 phương trình, tạo thành hệ 2 phương trình hai ẩn có dạng như sau:
Phương trình liên tục:


Hình 1. Diễn toán phương trình liên tục mô hình MIKE 11
Phương trình động lượng:

Trong đó: Q: Lưu lượng (m3/s); A: Diện tích mặt cắt (m2); q: Lưu lượng nhập lưu trên một đơn vị chiều dài dọc sông (m2/s); C: Hệ số Chezy; α: Hệ số sửa chữa động lượng; R: Bán kính thủy lực (m).
|
Hình 2. Nhánh sông với các điểm lưới xen kẽ |
Hình 3. Cấu trúc các điểm lưới xung quanh điểm nhập lưu |
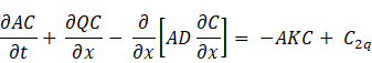
Phương trình truyền tải - khuếch tán:

Trong đó: A: Diện tích mặt cắt (m2); C: Nồng độ (kg/m3); D: Hệ số phân tán; q: Lưu lượng nhập lưu trên 1 đơn vị chiều dài dọc sông (m2/s); K: Hệ số phân hủy sinh học, K chỉ được sử dụng khi các hiện tượng hay quá trình xem xét có liên quan đến các phản ứng sinh hóa.
Độ chính xác của các mô hình thủy lực và khuếch tán được đánh giá thông qua chỉ số hiệu quả Nash-Sutcliffe efficiency (NSE) (Nash J. E., Sutcliffe J. V., 1970) và hệ số tương quan (R2) (Moriasi D. N., Arnold J. G. et al., 2007), trong đó, khi NSE và R2 càng tiến đến 1 thì độ chính xác của các kết quả đạt được càng cao. Phần trăm sai số (PBIAS) (Moriasi D. N., Gitau M. W. et al., 2015) được áp dụng cho đánh giá CLN, kết quả sai số càng tiến đến 0 thì độ chính xác càng cao.
2.2.2. Mô hình sinh thái
Động lực học của bình lưu các biến trạng thái trong ECO Lab có thể được mô tả bằng các phương trình truyền tải của vật chất không bảo toàn, có dạng:
Trong đó: c: Nồng độ của biến trạng thái ECO Lab; u, v: Các thành phần vận tốc dòng chảy; Dx, Dy: Các hệ số khuếch tán theo phương x và y; Sc: Nguồn sinh và nguồn mất; Pc: Các quá trình trong ECO Lab.
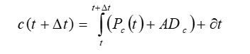
Phương trình truyền tải có thể được viết lại:
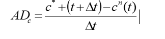
Trong đó, nhóm ADc đại diện cho tốc độ thay đổi nồng độ gây ra bởi quá trình bình lưu và khuếch tán (bao gồm các nguồn sinh và mất).
Khi tính toán các biến nồng độ cho bước tiếp theo, một phương trình ECOLab số được thay thế cho các phương trình truyền tải tích phân theo thời gian. Một phương pháp xấp xỉ khác được sử dụng trong ECOLab là xem thành phần bình lưu - đối lưu ADc không thay đổi trong một bước thời gian. Việc giải cả hai thành phần trong phương trình sai phân thường của ECOLab là tổng hợp của tốc độ thay đổi gây ra do chính các quá trình nội tại và các quá trình bình lưu - khuếch tán.
Thành phần bình lưu - khuếch tán được xấp xỉ bằng công thức:
Trong đó, nồng độ tức thời c* được cho bởi quá trình truyền tải biến trạng thái trong ECO Lab khi vật chất được bảo toàn trong suốt chu kỳ Δ𝑡 sử dụng modul AD.
Modul sinh thái (ECOLab) trong mô hình MIKE 11 giải quyết khía cạnh CLN trong sông/kênh tại những vùng bị ảnh hưởng bởi các hoạt động dân sinh, kinh tế… Modul này luôn đi kèm với modul tải - khuếch tán (AD), điều này có nghĩa là modul CLN giải quyết quá trình biến đổi sinh học của các hợp chất trong sông; modul tải - khuếch tán (AD) được dùng để mô phỏng quá trình truyền tải khuếch tán của các hợp chất. Bộ công cụ MIKE ECOLab của DHI đã có sẵn một số mẫu ECOLab được phát triển, có thể áp dụng được ngay, tuy nhiên cần phải hiệu chỉnh các hằng số, tham số của các phản ứng sinh hóa theo số liệu thực đo.

Hình 4. Sơ đồ quy trình thiết lập mô hình toán mô phỏng CLN
2.3. Phương pháp công nghệ GIS
Phương pháp GIS (Geographic Information Systems), phần mềm ArcGIS (version 10.8.2) được áp dụng để xây dựng thông tin trên cơ sở phân tách những đối tượng có cùng tính chất về cùng một một nhóm gọi là lớp dữ liệu, từ đó xây dựng thông tin thuộc tính và hình dạng vị trí trong không gian thực dựa trên 3 kiểu hình học đơn giản điểm, đường, vùng. GIS sẽ xác định CLN của từng kênh, rạch Bến Tre; việc xác lập CLN các kênh rạch được thực hiện bởi ứng dụng ArcMap với sự hỗ trợ của phân tích không gian - Phân tích thủy lực (Spatial Analyst - Hydrologic Analyst).
3. KẾT QUẢ VÀ THẢO LUẬN
3.1. Xây dựng mạng lưới tính toán thủy lực
- Phạm vi nghiên cứu: Thuộc một phần hạ lưu sông Mêkông, thuộc địa phận tỉnh Bến Tre. Giới hạn trên phạm vi vùng nghiên cứu là đoạn sông Tiền ngay tại cầu Mỹ Thuận, giới hạn dưới là các cửa ra của các con sông chính trên địa phận tỉnh Bến Tre và một phần tỉnh Tiền Giang: Sông Tiền (Cửa Đại, Cửa Tiểu), sông Ba Lai, sông Hàm Luông, sông Cổ Chiên (cửa Cổ Chiên, cửa Cung Hầu).
- Sơ đồ mạng lưới sông chính: Sơ đồ thủy lực trên các nhánh sông có thể đại diện cho đoạn sông đó, gần sát với kích thước thực tế của sông trong vùng nghiên cứu. Tổng sơ đồ tính bao gồm 81 nhánh và 770 điểm, số liệu cập nhật file mdb.
Mặt cắt sông (cross section) dùng trong mô hình tính toán Mike 11.

Hình 5. Mặt cắt sông khu vực nghiên cứu tỉnh Bến Tre
Số liệu biên lưu lượng: Lấy biên lưu lượng thượng nguồn tại trạm Mỹ Thuận.
- Số liệu biên mực nước: Lưu vực sông Tiền là khu vực có 4 cửa sông chính đổ ra biển Đông, nhưng vì sông Ba Lai không có trạm quan trắc gần khu vực giao giữa sông và biển. Do đó, mô hình sử dụng số liệu 3 biên mực nước tại các trạm quan trắc cửa sông (Bình Đại, An Thuận, Bến Trại): Sông Cửa Tiểu, Cửa Đại, Hàm Luông, Cổ Chiên.
- Số liệu biên mặn cho modul HD: Tương tự tại vị trí chọn biên mực nước, số liệu mặn cũng được sử dụng tại các trạm Bình Đại, An Thuận, Bến Trại, Vàm Kênh: Cửa sông Cửa Tiểu, Cửa Đại, Hàm Luông, Cổ Chiên.
- Số liệu biên CLN cho modul ECOLab: Tương tự tại vị trí chọn biên mực nước, số liệu CLN cũng được sử dụng tại các trạm Bình Đại, An Thuận, Bến Trại, Vàm Kênh: Cửa sông Cửa Tiểu, Cửa Đại, Hàm Luông, Cổ Chiên.
Ngoài ra còn có số liệu nguồn thải tại các điểm quan trắc mực nước trên mạng lưới sông tỉnh Bến Tre (ký hiệu NM, nguồn: Báo cáo quản lý tổng hợp môi trường 2023), các điểm nguồn thải này có số liệu về lưu lượng thải và số liệu về nồng độ thực đo các chất như DO, nhiệt độ, NH4, NO3, BOD5, PO4, Coliform, pH tại thời điểm năm 2022 và 2023.
3.2. Hiệu chỉnh, kiểm định và lựa chọn bộ thông số cho mô hình MIKE
* Điều kiện ổn định cho mô hình: Trên cơ sở thiết lập mô hình, lựa chọn các điều kiện biên về không gian cũng như thời gian, mô hình được kiểm định qua 2 chỉ số: Hệ số Nash và hệ số tương quan R2, được hiệu chỉnh bằng hệ số nhám Maning trong module HD; hệ số khuyếch tán trong module AD cho đến khi kết quả mô phỏng phù hợp với kết quả thực đo lấy từ các trạm quan trắc. Số liệu hiệu chỉnh, kiểm định là số liệu thực đo vào tháng 2 mùa khô năm 2023 để làm cơ sở mô phỏng module HD, AD và Ecolab cho những thời đoạn tiếp theo.
Mực nước để mô phỏng thủy động lực học được hiệu chỉnh theo số liệu mực nước thực đo tại trạm Mỹ Tho (sông Tiền), trạm Trà Vinh (sông Cổ Chiên) có trong thời đoạn mô phỏng và sử dụng kết quả tính toán các chỉ số đánh giá hiệu quả mô hình là hiệu quả hệ số tương quan Pearson.
Hệ số manning càng nhỏ thì tốc độ dòng chảy và mực nước sẽ càng ổn định. Bộ thông số nhám này được hiệu chỉnh tại 4 con sông chính thu được như sau: Sông Tiền, sông Hàm Luông, sông Cổ Chiên đều có hệ số nhám manning: 0,017; sông Ba Lai là 0,022.
Kết quả kiểm định: So sánh giá trị mực nước mô phỏng và thực đo tháng 2 được thể hiện như trạm Mỹ Tho, trạm Trà Vinh cũng như chỉ số đánh giá hiệu quả mô hình hệ số tương quan lần lượt là R2 = 0,82 và R2 = 0,97 cho thấy, kết quả mô hình phù hợp với thực đo cả về giá trị lẫn xu thế, mô hình đáng tin cậy, có thể sử dụng để mô phỏng các kịch bản khác.
Hình 6. Mực nước mô phỏng và thực đo năm 2023 trạm Trà Vinh
Hình 7. Mực nước mô phỏng và thực đo năm 2022 trạm Mỹ Tho
* Kiểm định nồng độ mặn: Hiệu chỉnh bộ thông số phân tán trong module AD phức tạp hơn so với mô hình thủy động lực vì độ mặn chịu ảnh hưởng của nhiều yếu tố như gió mùa, dòng chảy, nhu cầu dùng nước, nguồn thải từ sinh hoạt và sản xuất, quy luật vận hành các công trình ngăn mặn... Ngoài ra, hệ thống sông Tiền rất phức tạp, không thể xác định chính xác giá trị của hệ số tải khuếch tán cho từng đoạn sông cụ thể; số liệu đo đạc mặn cũng không được thu thập liên tục. Bộ thông số phân tán thu được sau khi hiệu chỉnh tại 4 con sông chính sử dụng cho modul AD là: Sông Tiền: 300 - 1.200; sông Ba Lai: 300 - 1.000; sông Hàm Luông: 300 - 1.000; sông Cổ Chiên: 800 - 2.050.
Tuy vậy, sau khi hiệu chỉnh mức độ khuyến tán tại 3 con sông: Sông Cổ Chiên, sông Hàm Luông, sông Tiền, so sánh kết quả tính toán độ mặn từ mô phỏng và giá trị thực đo vào tháng 2 cho thấy sự phù hợp cả về trị số lẫn xu thế. R2 = ,71 trạm Trà Vinh trên sông Cổ Chiên và R2 = 0,67 ttrạm Lộc Thuận tại Cửa Đại sông Tiền.
Hình 8. Độ mặn mô phỏng và thực đo tháng 2/2023 trạm Trà Vinh
Hình 9. Độ mặn mô phỏng và thực đo tháng 2/2023 trạm Lộc Thuận
Kiểm định mô hình CLN: Mô hình được hiệu chỉnh với số liệu thu thập hàng tháng năm 2023. Các thông số được hiệu chỉnh bao gồm: DO, BOD, nhiệt độ, NH4, Ecoli, Coliform. Để hiệu chỉnh mô hình CLN, các hằng số trong các phương trình phản ứng và chuyển hóa được điều chỉnh cho phù hợp với khu vực nghiên cứu.
3.3. Kết quả tính toán mô hình thủy lực và CLN theo kịch bản hiện trạng
Kết quả hiệu chỉnh mô hình được so sánh từ kết quả thực đo so với kết quả quan trắc đợt 6 năm 2023 với 7 điểm quan trắc: Cầu Cái Gà, huyện Chợ Lách (NM-64); Cầu Phú Long, xã Tân Phú, Châu Thành (NM-06); cầu Ba Cò, xã Phú Túc, Châu Thành (NM-65); cầu Khánh Hội, xã Tiên Thủy (NM-66); phà Rạch Miễu Tạm (Đầu Cồn Tân Mỹ), xã Phú Túc (NM-67); bến Phà Rạch Miễu (Cũ) (NM-68); bến phà Hàm Luông (cũ) (NM-03).
|
|
|
|
(1) Nồng độ BOD thực đo và mô phỏng tại vị trí cầu Cái Gà |
(2) Nồng độ DO thực đo và mô phỏng tại vị trí cầu Phú Long |
|
|
|
|
(3) Nồng độ NH4+-N vị trí cầu Ba Cò |
(4) Nồng độ NO3--N tại vị trí cầu Khánh Hội |
|
|
|
|
(5) Nồng độ PO43--N tại vị trí phà Rạch Miễu |
(6) Nồng độ Coliform vị trí bến phà Rạch Miễu |
|
|
|
Hình 10. Kết quả hiệu chỉnh nồng độ một số chất lan truyền tại các vị trí giữa thực đo và mô phỏng trên địa bàn tỉnh Bến Tre
Nồng độ các chất được đưa vào hiệu chỉnh mô hình giữa tính toán và thực đo trong khoảng thời gian từ 21h00 ngày 20/4/2022 đến 21h00 ngày 21/4/2022. Kết quả mô phỏng lan truyền chất cho thấy sự phù hợp giữa kết quả tính toán và thực đo. Cụ thể: Với nồng độ chất BOD thực đo tại vị trí cầu Cái Gà trung bình khoảng 7,36 mg/l, mô phỏng là 6,78 mg/l; với DO tại vị trí cầu Phú Long trung bình khoảng 5,88 mg/l, mô phỏng là 5,53 mg/l; với NH4+-N thực đo tại vị trí cầu Ba Cò khoảng 0,66 mg/l, mô phỏng là 0,62 mg/l; với NO3--N thực đo tại vị trí cầu Khánh Hội trung bình 1,71 mg/l, mô phỏng trung bình 1,52 mg/l; với PO43--N thực đo tại vị trí phà Rạch Miễu là 0,20 mg/l, mô phỏng khoảng 0,18 mg/l; với Coliform thực đo tại vị trí bến phà Rạch Miễu khoảng 4,24 mg/l, mô phỏng là 3,84 mg/l.
3.4. Mô phỏng CLN theo các kịch bản dưới tác động của biến đổi khí hậu
Biểu hiện rõ rệt nhất của tác động của BĐKH là hiện tượng nước biển dâng, ảnh hưởng lớn đến vấn đề xâm nhập mặn cũng như CLN.
Thời gian mặn mô phỏng kịch bản vào năm 2025 và 2030 bắt đầu từ tháng 2 và kết thúc vào tháng 4; khả năng mặn theo dòng chảy mực nước biển tăng cao vào sâu trong đất liền qua các năm hoàn toàn có thể xảy ra với cường độ lớn. Độ mặn ảnh hưởng đến khu vực nghiên cứu không chỉ thay đổi theo thời gian mà theo không gian.
- Đối với kịch bản hiện trạng năm 2022:
|
|
|
|
(1) Mùa khô |
(2) Mùa mưa |
Hình 11. Phân bố chỉ số CLN mô phỏng hiện trạng mùa khô và mùa mưa năm 2022
- Đối với kịch bản hiện trạng năm 2023:
|
|
|
|
(1) Mùa khô |
(2) Mùa mưa |
Hình 12. Phân bố chỉ số CLN mô phỏng hiện trạng mùa khô và mùa mưa năm 2023
- Đối với kịch bản RCP 4.5 năm 2025:
|
|
|
|
(1) Mùa khô |
(2) Mùa mưa |
Hình 13. Phân bố chỉ số CLN mô phỏng hiện trạng mùa khô và mùa mưa năm 2025
- Đối với kịch bản RCP 4.5 năm 2030:
|
|
|
|
(1) Mùa khô |
(2) Mùa mưa |
Hình 14. Phân bố chỉ số CLN kịch bản RPC 4.5 mùa khô và mùa mưa năm 2030
- Đối với kịch bản RCP 6.0 năm 2025:
|
|
|
|
(1) Mùa khô |
(2) Mùa mưa |
Hình 15. Phân bố chỉ số CLN kịch bản RPC 6.0 mùa khô và mùa mưa năm 2025
- Đối với kịch bản RCP 6.0 năm 2030:
|
|
|
|
(1) Mùa khô |
(2) Mùa mưa |
Hình 16. Phân bố chỉ số CLN kịch bản RPC 6.0 mùa khô và mùa mưa năm 2030
- Đối với kịch bản bản RCP 8.5 năm 2025:
|
|
|
|
(1) Mùa khô |
(2) Mùa mưa |
Hình 17. Phân bố chỉ số CLN kịch bản RPC 8.5 mùa khô và mùa mưa năm 2025
- Đối với kịch bản bản RCP 8.5 năm 2030:
|
|
|
|
(1) Mùa khô |
(2) Mùa mưa |
Hình 18. Phân bố chỉ số CLN kịch bản RPC 8.5 mùa khô và mùa mưa năm 2030
Như vậy, hệ thống sông, kênh rạch trên địa bàn tỉnh Bến Tre tiếp nhận nước thải của các khu công nghiệp, cụm công nghiệp và nước thải từ hoạt động chăn nuôi, nuôi trồng thủy hải sản, cảng cá tiếp tục bị ô nhiễm nặng, cụ thể: Sông Tiền (tiếp nhận nước thải các nhà máy chế biến thủy sản dọc theo sông Tiền); sông Ba Lai (tiếp nhận nước thải từ các cơ sở sản xuất của khu công nghiệp, cụm công nghiệp); sông Hàm Luông (tiếp nhận nước thải chăn nuôi, hoạt động NTTS dọc theo sông và các nhà máy chế biến thủy sản); sông Cổ Chiên (tiếp nhận NTSH từ khu dân cư, hoạt động NTTS dọc theo sông và nước thải từ cảng cá Thạnh Phú); sông Bến Tre (tiếp nhận NTSH từ các cơ sở sản xuất kinh doanh; nước mưa chảy tràn trên bề mặt đô thị); kênh Chợ Lách (tiếp nhận NTSH, sản xuất, nước mưa chảy tràn từ bãi rác…).
4. KẾT LUẬN
Kết quả nghiên cứu cho thấy, vùng ô nhiễm trọng điểm về nước mặt được dự báo là các khu vực tập trung đông dân cư; khu/cụm công nghiệp tại đô thị; trung tâm huyện lỵ như TP. Bến Tre, thị trấn BaTri, Châu Thành, Chợ Lách… Theo quy hoạch tổng thể phát triển KT - XH và quy hoạch các ngành, lĩnh vực khác của tỉnh Bến Tre đến năm 2030, tầm nhìn đến năm 2050, chất lượng nguồn nước mặt trong thời gian tới tại tỉnh Bến Tre (cũ) bị suy thoái nghiêm trọng. Do đó, UBND tỉnh cần có giải pháp quản lý, tăng cường kiểm soát nguồn thải và xử lý nghiêm ngặt những hành vi vi phạm xả thải vượt QCVN trong sinh hoạt và sản xuất.
Tuy vậy, do số liệu chưa được đầy đủ và độ chính xác của mô hình còn hạn chế, nên chỉ đảm bảo dự báo xu hướng của CLN. Cần thu thập số liệu thời kỳ dài hơn và tăng cường kiểm định mô hình để đạt được chất lượng dự báo cao hơn.
Lời cảm ơn: Đây là kết quả nghiên cứu của Trung tâm Nghiên cứu Dịch vụ Công nghệ và Môi trường từ Đề tài “Điều tra, đánh giá hiện trạng khai thác, sử dụng tài nguyên nước mặt trên địa bàn Bến Tre” tại Sở Khoa học và Công nghệ tỉnh Bến Tre (cũ).
Tôn Thất Lãng1*, Nguyễn Huy Cương1, Huỳnh Thị Ngọc Hân1, Trần Thị Vân Trinh1,
Nguyễn Ngọc Trinh1, Trần Thành Công2, Nguyễn Thị Mỹ Hạnh2
1Trường Đại học Tài nguyên và Môi trường TP. Hồ Chí Minh
2Trung tâm Nghiên cứu Dịch vụ Công nghệ và Môi trường
(Nguồn: Bài đăng trên Tạp chí Môi trường số Chuyên đề Khoa học - Công nghệ IV/2025)
TÀI LIỆU THAM KHẢO
1. Nguyen Hai Au, Nguyen Thi Tinh Au, 2024. Assessing the water potential and wastewater load capacity of the La Tinh River, Binh Dinh province by MIKE 11AD and Ecolab model combined with GIS method. GeoShanghai 2024. Vol 6. doi:10.1088/1755-1315/1345/1/012009.
2. Cole M., Lindeque P. & et al., 2011. Microplastics as contaminants in the marine environment: a review. Mar. Pollut. Bull. Vol 62, Pages 2588-2597. https://doi.org/10.1016/j.marpolbul.2011.09.025.
3. Obin N., Tao, H. & et al., 2021. Research on Water Quality Simulation and Water Environmental Capacity in Lushui River Based on WASP Model. Water. Vol 13, 2819. https://doi.org/10.3390/w13202819.
4. McBean E., Bhatti, M. & et al., 2022. Temperature Modeling, a Key to Assessing Impact on Rivers Due to Urbanization and Climate Change. Water. Vol 14, 1994. https://doi.org/10.3390/w14131994.
5. Tsakiris G., Alexakis D., 2012. Water quality models: An overview. Eur. Water. Vol 37. Pages 33-46. Available online: http://www.ewra.net/ew/pdf/EW_2012_37_04.pdf.
6. Nguyễn Việt Hưng, Lê Thị Phương Trúc, 2022. Xây dựng hệ thống dự báo CLN tự động trên kênh, rạch nội đô TP. Hồ Chí Minh. Tạp chí Khí tượng Thủy văn. Số 741. Trang 57-74. doi:10.36335/VNJHM.2022(741).57-74.
7. DHI, 2014. MIKE 11 - Ref.
8. DHI, 2014. MIKE 11 - Short Introduction Tutorial.
9. DHI, 2014. MIKE 11 - User Manual.
10. Trần Hữu Thế & cs, 2022. Nghiên cứu ứng dụng mô hình MIKE 11 đánh giá chất lượng nguồn tiếp nhận nước thải từ khu công nghiệp ra sông Cẩm Giàng, Hải Dương. Tạp chí Khí tượng Thuỷ văn. Số 774 (1). Trang 67-80. DOI:10.36335/VNJHM.2022 (744(1)).
11. Đoàn Quang Trí, 2016. Ứng dụng mô hình MIKE 11 mô phỏng và tính toán xâm nhập mặn cho khu vực Nam Bộ. Tạp chí Khí tượng Thuỷ văn. Số 11. Trang 39 - 46.
12. Hoàng Thị An, Trần Thuỳ Nhung và cs, 2022. Nghiên cứu kết hợp mô hình thủy lực và mô hình trí tuệ nhân tạo mô phỏng CLN sông Nhuệ - Đáy. Tạp chí Khí tượng Thủy văn. Số 739. Trang 67 - 80.
13. Lê Ngọc Cầu, Lê Văn Quy, Phạm Thị Quỳnh, 2022. Đánh giá CLN sông Cầu trên địa bàn tỉnh Thái Nguyên giai đoạn 2019 - 2020. Tạp chí Khí tượng Thủy văn. Số 736(1). Trang 75 - 87.
14. Lê Ngọc Cầu, Ngô Thị Vân Anh và cs, 2022. Đánh giá CLN hồ chứa Hòa Bình giai đoạn 2011 - 2020 và đề xuất một số giải pháp phòng ngừa ÔNMT nước hồ. Tạp chí Khí tượng Thủy văn. Số 735. Trang 38 - 50.
15. Nguyễn Huy Anh, Nguyễn Đăng Nhã Uyên, Nguyễn Văn Hồng, 2022. Phân vùng CLN hệ đầm phá Tam Giang - Cầu Hai, tỉnh Thừa Thiên Huế. Tạp chí Khí tượng Thủy văn. EME4. Trang 94 - 102.
16. Lê Ngọc Tuấn, Đoàn Thanh Huy, 2021. Đánh giá khả năng chịu tải của nguồn nước vùng bờ thành phố Hồ Chí Minh đến năm 2030 và đề xuất giải pháp cải thiện. Tạp chí Khí tượng Thủy văn. Số 728. Trang 1 - 13.
17. Sở TN&MT tỉnh Bến Tre, 2020. Báo cáo tổng hợp nhiệm vụ Xây dựng kế hoạch hành động ứng phó biến đổi khí hậu giai đoạn 2020 - 2030, định hướng đến năm 2050 và đánh giá khí hậu tỉnh Bến Tre.
18. UBND tỉnh Bến Tre, 2023. Báo cáo tổng hợp Quy hoạch tỉnh Bến Tre thời kỳ 2021 - 2030, tầm nhìn đến năm 2050.
19. Sở TTN&MT tỉnh Bến Tre, 2023. Báo cáo tổng hợp nhiệm vụ “Đánh giá hiện trạng và xây dựng kế hoạch quản lý chất lượng môi trường nước mặt tỉnh Bến Tre”.
20. Sở TN&MT tỉnh Bến Tre, 2021. Báo cáo hiện trạng môi trường tỉnh Bến Tre giai đoạn 2016 - 2020.
21. Nash J. E., Sutcliffe J. V., 1970. River flow forecasting through conceptual models part I-A discussion of principles. J. Hydrol. Vol 10 (3). Pages 282 - 290. https://doi.org/10.1016/0022-1694 (70) 90255 - 6.
22. Moriasi D. N., Arnold J. G. & et al., 2007. Model Evaluation Guidelines for Systematic Quantification of Accuracy in Watershed Simulations. Trans. ASABE. Vol 50 (3). Pages 885 - 900. https://doi.org/10.13031/2013.23153.
23. Moriasi D. N., Gitau M. W. & et al., 2015. Hydrologic and Water Quality Models: Performance Measures and Evaluation Criteria. Trans. ASABE. Vol 58 (6). Pages 1763 - 1785. https://doi.org/10.13031/trans.58.10715.