29/04/2025
TÓM TẮT
Ô nhiễm không khí (ONKK) là thách thức môi trường nghiêm trọng tại các vùng kinh tế trọng điểm (KTTĐ), ảnh hưởng đến sức khỏe cộng đồng và phát triển bền vững. Hiện nay, quá trình lựa chọn các giải pháp kiểm soát chất lượng không khí (CLKK) chủ yếu dựa trên đánh giá hiện trạng ô nhiễm và phân tích hiệu quả – chi phí mà chưa xét đến yếu tố kinh tế, môi trường và xã hội trong quá trình xác định hành động ưu tiên. Mục tiêu nghiên cứu ứng dụng kết hợp phương pháp phân tích đa tiêu chí AHP-TOPSIS (Analytic Hierarchy Process - Technique for Order of Preference by Similarity to Ideal Solution) để xác định trọng số và xếp hạng các tiêu chí đánh giá, qua đó hỗ trợ lựa chọn giải pháp ưu tiên trong kiểm soát CLKK tại bốn vùng KTTĐ: Bắc Bộ, Miền Trung, Phía Nam và Đồng bằng Sông Cửu Long (ĐBSCL). AHP được áp dụng để xác định trọng số các tiêu chí trong khi TOPSIS hỗ trợ xếp hạng mức độ ưu tiên của từng tiêu chí. Kết quả nghiên cứu cho thấy, tiêu chí “sức khỏe cộng đồng” có mức độ ưu tiên cao nhất, tiếp theo là các tiêu chí “khả năng giảm phát thải khí thải, khí nhà kính” và “chi phí đầu tư”. Các tiêu chí “thị trường năng lượng sạch” và “cơ hội việc làm” có trọng số thấp nhất. Mức độ ưu tiên các tiêu chí có sự khác biệt giữa các vùng KTTĐ, phản ánh đặc thù kinh tế – xã hội (KT-XH) và năng lực tài chính của từng khu vực. Nghiên cứu cung cấp cơ sở khoa học cho việc ra quyết định chính sách kiểm soát ONKK hiệu quả tại các vùng KTTĐ.
Từ khóa: AHP - TOPSIS, chất lượng môi trường không khí, giải pháp ưu tiên, phân tích đa tiêu chí, vùng kinh tế trọng điểm.
Ngày nhận bài: 22 /2/2025; Ngày sửa chữa: 2/3/2025; Ngày duyệt đăng: 26/3/2025.
Application of the AHP-TOPSIS Method for Determining Evaluation Criteria Weights in Prioritizing Air Quality Management Solutions in Vietnam’s Key Economic Regions
ABSTRACT
Air pollution is a serious environmental challenge in Vietnam’s key economic regions, posing significant threats to public health and sustainable development. At present, the selection of air quality management (AQM) solutions primarily relies on current pollution assessments and cost-effectiveness analysis, without fully considering economic, environmental, and social factors in prioritizing actions. This study aims to apply an integrated multi-criteria decision-making approach using the Analytic Hierarchy Process and the Technique for Order of Preference by Similarity to Ideal Solution (AHP-TOPSIS) to assign weights and rank evaluation criteria, thereby supporting the selection of priority AQM strategies across the four key economic regions of Vietnam: the Northern Region, Central Region, Southern Region, and the Mekong Delta. AHP is used to determine the relative importance of the criteria, while TOPSIS is utilized to rank their priority levels. The findings indicate that the “public health impact” criterion holds the highest priority, followed by “emission and greenhouse gas reduction potential” and “investment cost.” In contrast, the criteria “clean energy market development” and “employment opportunities” are assigned the lowest weights. The priority levels of criteria vary among regions, reflecting regional socioeconomic characteristics and financial capacities. This study provides a scientific foundation for effective policy decision-making in air pollution control across Vietnam’s key economic regions.
Keywords: AHP-TOPSIS, air quality management, priority solutions, multi-criteria decision-making, key economic regions.
JEL Classifications: Q50, Q52, Q55, Q57.
1. MỞ ĐẦU
Theo niên giám thống kê năm 2023 [1], vùng KTTĐ Bắc Bộ gồm 7 tỉnh, thành phố gồm Hà Nội, Hải Phòng, Quảng Ninh, Hải Dương, Hưng Yên, Bắc Ninh và Vĩnh Phúc. Dân số đến cuối năm 2023 khoảng 22,3 triệu người, mật độ cao nhất cả nước, khoảng 1.450 người/km2, thế mạnh phát triển của vùng gồm đào tạo nhân lực chất lượng cao, công nghiệp, dịch vụ công nghệ cao, tài chính, y tế chuyên sâu và công nghiệp phụ trợ [2]. Vùng KTTĐ Miền Trung gồm thành phố Đà Nẵng, Thừa Thiên Huế, Quảng Nam, Quảng Ngãi và Bình Định, dân số khoảng 6,9 triệu người, mật độ 247 người/km2, vùng được định hướng phát triển du lịch biển, công nghiệp ô tô, hóa dầu, quốc phòng và dịch vụ cảng biển [2]. Vùng KTTĐ Phía Nam gồm TP.HCM, Bà Rịa – Vũng Tàu, Bình Dương, Bình Phước, Đồng Nai, Tây Ninh, Long An và Tiền Giang, dân số khoảng 22,8 triệu người, mật độ trung bình 745 người/km2, định hướng phát triển các ngành công nghiệp chế biến, chế tạo, điện, điện tử, kinh tế số, tài chính, ngân hàng, bất động sản và dịch vụ logistics, nhằm duy trì vai trò đầu tàu kinh tế cả nước [2]. Vùng KTTĐ ĐBSCL gồm Cần Thơ, An Giang, Kiên Giang và Cà Mau, dân số khoảng 6,6 triệu người, mật độ 397 người/km2, định hướng phát triển kinh tế của vùng tập trung vào phát triển nông nghiệp hiện đại, hữu cơ, quy mô lớn, hiệu quả cao; tăng cường công nghệ giống, công nghiệp chế biến, bảo quản nông sản, thủy sản, hướng đến tối ưu hóa giá trị sản xuất nông nghiệp.
Chất lượng môi trường không khí (CLMTKK) đang trở thành mối quan tâm hàng đầu tại nhiều thành phố lớn trên thế giới trong đó có Việt Nam và các vùng KTTĐ. ONKK không chỉ ảnh hưởng đến sức khỏe cộng đồng mà còn ảnh hưởng đến sự phát triển bền vững của nền kinh tế. Nhằm quản lý hiệu quả CLMTKK, bên cạnh việc xác định các nguyên nhân gây ONKK để đề xuất các giải pháp kiểm soát, việc lựa chọn giải pháp ưu tiên phù hợp với điều kiện KT-XH, chính sách thu hút đầu tư, nguồn lực ngân sách địa phương, hướng đến phát triển bền vững là rất quan trọng.
Hiện nay, phần lớn các nghiên cứu về kiểm soát CLKK tại các đô thị như Hà Nội [3], Bắc Ninh [4], Cần Thơ [5] chủ yếu tập trung vào hiện trạng ô nhiễm và phân tích chi phí - lợi ích của các giải pháp mà chưa xét đến mối quan hệ biện chứng giữa các tiêu chí về kinh tế, môi trường và xã hội. Điều này dẫn đến việc lựa chọn giải pháp thường nghiêng về khả năng tài chính từ nguồn ngân sách, thiếu tính toàn diện và bền vững.
Phương pháp phân tích đa tiêu chí (MCDA) là công cụ hỗ trợ ra quyết định hiệu quả trong bối cảnh có nhiều tiêu chí và mục tiêu cần xem xét đồng thời. Trên thế giới, phương pháp AHP, TOPSIS được ứng dụng nhiều trong các lĩnh vực như biến đổi khí hậu, CLKK đô thị và kiểm soát tiếng ồn. Tiêu biểu như Stefanos và cộng sự đã sử dụng AHP để đánh giá rủi ro lũ lụt cho khu vực bán đảo Kassandra, Hy Lạp. Kết quả cho thấy 48% các tiểu lưu vực có rủi ro lũ cao bắt nguồn từ yếu tố nhân tạo, trong khi yếu tố tự nhiên chiếm khoảng 43% diện tích có mức rủi ro trung bình [6]. Hong Lin và cộng sự [7] đã sử dụng phương pháp TOPSIS để đánh giá CLKK khu vực đô thị của thành phố Trấn Giang, Trung Quốc. Kết quả nghiên cứu đã thiết lập một hệ thống đánh giá toàn diện CLKK đô thị, áp dụng cho thành phố Trấn Giang năm 2019. Một nghiên cứu khác của Seyed Mehdi Mousavi về ứng dụng kết hợp AHP-TOPSIS nhằm xác định các giải pháp ưu tiên kiểm soát tiếng ồn tại nhà máy lọc dầu Abadan, Iran. Nghiên cứu xác định giải pháp sử dụng đồ bảo hộ lao động có vị trí cao nhất trong khi giải pháp thay đổi quy trình sản xuất ở vị trí thấp nhất [8].
Tại Việt Nam, việc áp dụng phương pháp AHP, TOPSIS chỉ mới thực hiện ở một số lĩnh vực như biến đổi khí hậu, phân vùng chức năng biển; cụ thể như nghiên cứu của Vũ Thùy Linh năm 2021 [9] đã sử dụng phương pháp AHP nhằm đánh giá tổng hợp các yếu tố tự nhiên và xã hội đến ngành nông nghiệp Thành phố. Kết quả nghiên cứu đã xây dựng được bộ tiêu chí và trọng số riêng biệt nhằm đánh giá vùng dễ bị tổn thương do BĐKH phù hợp với điều kiện nông nghiệp TP.HCM. Tương tự, Nguyễn Thanh Thủy [10] đã tích hợp phương pháp AHP và TOPSIS để xác định thứ tự ưu tiên phục hồi, bảo vệ các hệ sinh thái đất ngập nước tại khu vực Đồng Tháp Mười. Nghiên cứu đã tính toán mức độ ưu tiên phục hồi, bảo vệ cho 8 khu vực thuộc Đồng Tháp Mười. Năm 2024, Nguyễn Hải Âu và cộng sự [11] đã ứng dụng AHP-TOPSIS lựa chọn phương án khai thác sử dụng không gian biển thích hợp cho huyện Côn Đảo, kết quả xác định được trọng số cho 12 tiêu chí từ đó lựa chọn phương án phân chia huyện thành 5 vùng phát triển, hướng đến phát triển bền vững.
Nhìn chung, việc áp dụng phương pháp AHP-TOPSIS trong kiểm soát CLKK còn hạn chế tại Việt Nam. Nghiên cứu đề xuất cách tiếp cận tích hợp AHP-TOPSIS nhằm xác định mức độ quan trọng của hệ thống tiêu chí đánh giá làm cơ sở xác định các giải pháp ưu tiên trong kiểm soát CLKK tại bốn vùng KTTĐ của Việt Nam, bao gồm vùng KTTĐ Bắc Bộ, Miền Trung, Phía Nam và ĐBSCL.
2. NỘI DUNG VÀ PHƯƠNG PHÁP
2.1. Nội dung
Nghiên cứu sử dụng phương pháp AHP để xác định mức độ quan trọng của các tiêu chí và TOPSIS để xếp hạng thứ tự ưu tiên của các tiêu chí cho từng vùng KTTĐ. Đối tượng nghiên cứu là các tiêu chí thuộc các lĩnh vực kinh tế, xã hội và môi trường. Phạm vi nghiên cứu xây dựng tiêu chí cho cả bốn vùng KTTĐ (Hình 1).

Hình 1. Quy trình áp dụng tích hợp phương pháp AHP-TOPSIS để xác định mức độ quan trọng của các tiêu chí
Bộ tiêu chí được thiết lập dựa trên hai nền tảng chính là (i) nguyên tắc xây dựng tiêu chí và (ii) khung cấu trúc tổ chức tiêu chí. Về nguyên tắc xây dựng tiêu chí, được thiết lập theo nguyên tắc phát triển bền vững của Liên Hợp Quốc [12], đồng thời đảm bảo với định hướng phát triển bền vững quốc gia tại Quyết định 985a/QĐ-TTg của Thủ tướng Chính phủ phê duyệt Kế hoạch hành động quốc gia về quản lý CLKK đến năm 2020, tầm nhìn đến năm 2025 [13]. Về khung cấu trúc tổ chức tiêu chí, được tổ chức theo khung chủ đề gồm hai cấp là tiêu chí chính và tiêu chí phụ. Ba tiêu chí chính tương ứng với ba trụ cột của phát triển bền vững gồm: kinh tế, môi trường và xã hội, đóng vai trò định hướng cho việc phân rã thành các tiêu chí cụ thể hơn. Trên cơ sở đó, mười tiêu chí phụ được xác lập nhằm cụ thể hóa các khía cạnh ưu tiên trong đánh giá giải pháp quản lý CLKK. Cụ thể, nhóm tiêu chí kinh tế đánh giá hiệu quả đầu tư, khả năng thúc đẩy tăng trưởng kinh tế, mức độ thu hút đầu tư và tương quan chi phí – lợi ích của giải pháp. Nhóm tiêu chí môi trường phản ánh mức độ cải thiện CLKK, tiềm năng giảm phát thải và hiệu quả sử dụng năng lượng, nhiên liệu. Trong khi đó, nhóm tiêu chí xã hội xem xét các yếu tố liên quan đến bảo vệ sức khỏe cộng đồng, cơ hội việc làm và mức độ đồng thuận xã hội đối với giải pháp được đề xuất. Việc tổ chức hệ thống tiêu chí theo ba trụ cột phát triển bền vững không chỉ bảo đảm tính toàn diện trong đánh giá mà còn góp phần nâng cao hiệu lực và khả năng ứng dụng thực tiễn của các giải pháp đề xuất. Danh mục cụ thể các tiêu chí phụ được trình bày tại Bảng 1.
Bảng 1. Bộ tiêu chí đánh giá giải pháp ưu tiên trong quản lý CLMTKK
|
Tiêu chí chính |
Tiêu chí phụ |
Định nghĩa |
|---|---|---|
|
Môi trường |
Khả năng giảm phát thải khí thải, khí nhà kính (KT, KNK) |
Đánh giá khả năng giảm ONKK, khả năng đạt Quy chuẩn cho phép khi thực hiện các giải pháp. |
|
Tiết kiệm tiêu thụ năng lượng, nhiên liệu |
Đánh giá mức độ tiết kiệm năng lượng, nhiên liệu tiêu thụ của một giải pháp. |
|
|
Phù hợp với mục tiêu quản lý CLMTKK |
Giải pháp đề ra có đáp ứng được mục tiêu quản lý CLMTKK của khu vực. |
|
|
Kinh tế |
Chi phí đầu tư |
Đánh giá chi phí vốn đầu tư cho giải pháp có hợp lý và phù hợp với ngân sách địa phương. |
|
Tốc độ tăng trưởng (GDP) |
Đóng góp của giải pháp đến tốc độ phát triển kinh tế địa phương, (thúc đẩy hay kìm hãm tăng trưởng GDP). |
|
|
Thu hút vốn đầu tư nước ngoài (FDI) |
Đánh giá khả năng thu hút vốn đầu tư nước ngoài của giải pháp. |
|
|
Tăng trưởng trong thị trường năng lượng sạch |
Tiềm năng phát triển thị trường năng lượng sạch và sự phù hợp với định hướng tăng trưởng xanh của địa phương. |
|
|
Xã hội |
Sức khỏe cộng đồng |
Đánh giá hiệu quả cải thiện sức khỏe cộng đồng, đặc biệt trong việc giảm bệnh lý liên quan đến ONKK. |
|
Cơ hội việc làm |
Khả năng tạo việc làm cho người dân khi áp dụng giải pháp. Giải pháp có giúp người dân duy trì hoặc tăng thu nhập. |
|
|
Sự đồng thuận của người dân |
Mức độ đồng ý tham gia và hỗ trợ của người dân khi thực hiện giải pháp. |
2.2. Phương pháp nghiên cứu
Xác định trọng số tiêu chí bằng phương pháp AHP
Nghiên cứu sử dụng phương pháp AHP của Thomas L. Saaty [14] để so sánh cặp các tiêu chí ở hai cấp độ. Bậc 1 gồm các tiêu chí chính về kinh tế, môi trường và xã hội, bậc 2 gồm các tiêu chí phụ được phân tách từ các tiêu chí chính. Trọng số ưu tiên của các tiêu chí sau khi được xác định sẽ được tiếp tục so sánh với các giải pháp kiểm soát ONKK do các cấp chính quyền đề xuất, từ đó cung cấp cơ sở khoa học hỗ trợ quá trình ra quyết định và lựa chọn các giải pháp ưu tiên trong kiểm soát ONKK.
Hình 2. Sơ đồ thứ bậc của bộ tiêu chí đánh giá các giải pháp
Việc so sánh được thực hiện theo cặp và tổng hợp thành ma trận như công thức (1) với n cột và n hàng (n: số tiêu chí), aij thể hiện mức độ quan trọng của tiêu chí hàng thứ i so với tiêu chí cột thứ j, khi so sánh đối xứng ngược tiêu chí j với tiêu chí i thì aij = 1/aji. Tầm quan trọng của cặp tiêu chí đối xứng được xác định bằng thang đánh giá từ 1 - 9 của Saaty [14]. Sau khi tổng hợp ma trận, tính trung bình tích cho từng tiêu chí bằng Geometric Mean Method [15]. Sau đó, tính trọng số W bằng cách chuẩn hóa trung bình tích.
|
|
(1) |
AHP xác định tính nhất quán trong các so sánh cặp tiêu chí của chuyên gia thông qua tỉ số nhất quán CR theo các công thức (2) và (3) [14], trong đó CI là chỉ số nhất quán; RI là chỉ số ngẫu nhiên, giá trị tham khảo theo Bảng 2; n: số tiêu chí của ma trận A. Nếu CR < 0,1 thì ma trận so sánh cặp có tính nhất quán.
|
|
(2) |
|
(3) |
Bảng 2. Chỉ số ngẫu nhiên RI
|
n |
1 |
2 |
3 |
4 |
5 |
6 |
7 |
8 |
9 |
|
RI |
0,00 |
0,00 |
0,58 |
0,9 |
1,12 |
1,24 |
1,32 |
1,41 |
1,45 |
b. Xếp hạng thứ tự quan trọng của các tiêu chí bằng phương pháp TOPSIS
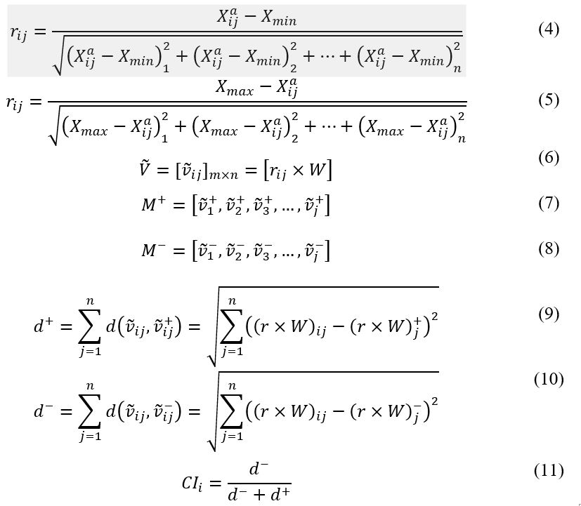
Phương pháp TOPSIS được phát triển bởi Hwang và Yoon [16], là một trong những phương pháp MCDA phổ biến, cho phép xếp hạng các lựa chọn dựa trên khoảng cách tương đối đến giải pháp lý tưởng tốt nhất (PIS) và giải pháp ít lý tưởng nhất (NIS). Trong bài báo này, TOPSIS được sử dụng để xếp hạng mức độ quan trọng của các tiêu chí, làm cơ sở khoa học để đánh giá và lựa chọn các giải pháp ưu tiên trong kiểm soát CLMTKK. Kết quả trọng số tiêu chí được tính bằng AHP sẽ làm dữ liệu đầu vào cho các bước tính toán tiếp theo trong quy trình TOPSIS.
Trước tiên, trọng số sẽ được chuẩn hóa bằng cách xác định giá trị lợi ích tối đa. Tùy thuộc vào từng loại tiêu chí mà tập lợi ích sẽ là giá trị tối đa hoặc tối thiểu theo công thức (4), (5), trong đó:
: Giá trị chuẩn hóa trong ma trận tiêu chí tối đa của tiêu chí a so với tổng các tiêu chí;
: Tổng giá trị điểm số đánh giá tiêu chí a theo tiêu chí chính được tổng hợp từ chuyên gia;
,
: Mô tả các giá trị max/min theo giá trị lợi ích tối đa tương ứng so với các tổng điểm còn lại giữa các nhóm tiêu chí.
Tiếp theo, chuẩn hóa ma trận trọng số tiêu chí theo công thức (6) và xác định trị số tiêu chí lý tưởng tốt nhất và lý tưởng kém nhất tại phương trình (7) và (8). Kế đến, xác định hệ số khoảng cách hình học điểm Euclidean (d+, d-) tại phương trình (9), (10). Cuối cùng, tính hệ số lân cận (CI) được xác định theo phương trình (11). Thứ hạng của các tiêu chí được thiết lập dựa trên giá trị hệ số CI trong khoảng [0, 1], giá trị càng gần 1 đồng nghĩa tiêu chí có thứ hạng càng cao.
3. KẾT QUẢ VÀ THẢO LUẬN
3.1. Kết quả
Dựa trên ba tiêu chí chính và mười tiêu chí phụ đã được xác lập, nghiên cứu thiết kế một bộ phiếu khảo sát nhằm thu thập ý kiến chuyên gia về mức độ quan trọng của từng tiêu chí. Tổng cộng 50 chuyên gia trong và ngoài nước đã tham gia khảo sát. Các chuyên gia được lựa chọn đều có hiểu biết sâu về MCDA và chuyên môn phù hợp với đặc điểm khu vực nghiên cứu, bao gồm các lĩnh vực môi trường, kinh tế, tài chính, xã hội, sức khỏe cộng đồng, chính sách quản lý CLKK và phương pháp AHP – TOPSIS. Nhằm đảm bảo tính khách quan và đa chiều trong đánh giá, nhóm chuyên gia được tuyển chọn từ nhiều nguồn khác nhau như: Trường đại học, viện nghiên cứu, cơ quan quản lý nhà nước, ngân hàng, Trung tâm kiểm soát bệnh tật, tổ chức phi chính phủ và đơn vị tư vấn môi trường trong nước và quốc tế. Dữ liệu khảo sát được xử lý theo các công thức được trình bày tại mục 2.2. Kết quả xếp hạng mức độ quan trọng của các tiêu chí được tổng hợp cho từng vùng KTTĐ, bao gồm: vùng KTTĐ Bắc Bộ (Bảng 3), vùng KTTĐ Miền Trung (Bảng 4), vùng KTTĐ phía Nam (Bảng 5) và vùng KTTĐ ĐBSCL (Bảng 6).
Kết quả nghiên cứu cho thấy, tiêu chí Sức khỏe cộng đồng và Khả năng giảm phát thải khí thải, khí nhà kính là hai tiêu chí được đánh giá quan trọng nhất tương ứng giá trị trọng số cao nhất lần lượt (W= 0,19 – 0,21) và (W= 0,15 – 0,16) đối với cả bốn vùng KTTĐ. Tiêu chí được đánh giá quan trọng thứ ba là tiêu chí Chi phí đầu tư cho ba vùng KTTĐ Bắc Bộ, Miền Trung và Đồng bằng Sông Cửu Long với giá trị trọng số trong khoảng 0,12 – 0,14. Trong khi đó, tại vùng KTTĐ Phía Nam tiêu chí quan trọng thứ ba là tiêu chí Phù hợp với mục tiêu quản lý CLKK địa phương với giá trị W = 0,12.
Bảng 3. Xếp hạng mức độ quan trọng các tiêu chí của vùng KTTĐ Bắc Bộ
|
Tiêu chí |
Trọng số (W) |
di+ |
di- |
CI |
Xếp hạng |
|---|---|---|---|---|---|
|
Sức khỏe cộng đồng |
0,210 |
0,937 |
0,000 |
1,000 |
1 |
|
Khả năng giảm phát thải KT, KNK |
0,164 |
0,669 |
0,268 |
0,714 |
2 |
|
Chi phí đầu tư |
0,119 |
0,412 |
0,525 |
0,440 |
3 |
|
Phù hợp mục tiêu quản lý CLKK |
0,100 |
0,299 |
0,638 |
0,319 |
4 |
|
Tốc độ tăng trưởng GDP |
0,085 |
0,212 |
0,725 |
0,226 |
5 |
|
Thu hút vốn đầu tư FDI |
0,081 |
0,187 |
0,750 |
0,200 |
6 |
|
Tiết kiệm năng lượng, nhiên liệu |
0,070 |
0,123 |
0,814 |
0,131 |
7 |
|
Sự đồng thuận của người dân |
0,069 |
0,121 |
0,817 |
0,129 |
8 |
|
Cơ hội việc làm |
0,054 |
0,033 |
0,904 |
0,036 |
9 |
|
Thị trường năng lượng sạch |
0,048 |
0,000 |
0,937 |
0,000 |
10 |
Nếu tính theo tỷ lệ phần trăm trọng số các tiêu chí thì các tiêu chí Sức khỏe cộng đồng, Khả năng giảm phát thải khí thải, khí nhà kính, Chi phí đầu tư và Phù hợp với mục tiêu quản lý CLKK địa phương chiếm tỷ lệ cao nhất tại bốn vùng KTTĐ, dao động từ 10% – 21% (Hình 3).
|
|
|
|
|
|
Hình 3. Tỷ lệ trọng số các tiêu chí của các vùng KTTĐ
Bảng 4. Xếp hạng mức độ quan trọng các tiêu chí của vùng KTTĐ Miền Trung
|
Tiêu chí |
Trọng số (W) |
di+ |
di- |
CI |
Xếp hạng |
|---|---|---|---|---|---|
|
Sức khỏe cộng đồng |
0,189 |
0,905 |
0,000 |
1,000 |
1 |
|
Khả năng giảm phát thải KT, KNK |
0,155 |
0,668 |
0,237 |
0,738 |
2 |
|
Chi phí đầu tư |
0,135 |
0,529 |
0,376 |
0,584 |
3 |
|
Phù hợp mục tiêu quản lý CLKK |
0,116 |
0,399 |
0,507 |
0,440 |
4 |
|
Sự đồng thuận của người dân |
0,077 |
0,133 |
0,772 |
0,147 |
5 |
|
Tốc độ tăng trưởng GDP |
0,075 |
0,119 |
0,787 |
0,131 |
6 |
|
Cơ hội việc làm |
0,067 |
0,062 |
0,843 |
0,068 |
7 |
|
Thu hút vốn đầu tư FDI |
0,066 |
0,054 |
0,851 |
0,060 |
8 |
|
Tiết kiệm năng lượng, nhiên liệu |
0,063 |
0,033 |
0,872 |
0,036 |
9 |
|
Thị trường năng lượng sạch |
0,058 |
0,000 |
0,905 |
0,000 |
10 |
Nhóm tiêu chí xếp từ hạng 4 đến hạng 8 được đánh giá ít quan trọng hơn với trọng số dao động từ 0,07 – 0,13 tại bốn vùng KTTĐ. Tính theo tỷ lệ phần trăm, nhóm tiêu chí này chiếm khoảng 7% - 10% tổng trọng số, bao gồm các tiêu chí như Tốc độ tăng trưởng GDP, Cơ hội việc làm, Thị trường năng lượng sạch.
Nhóm tiêu chí có giá trị trọng thấp nhất dao động từ 0,05 – 0,06, phân bố khác nhau giữa các vùng KTTĐ. Cụ thể, tại vùng KTTĐ Bắc Bộ, các tiêu chí Cơ hội việc làm và Thị trường năng lượng sạch có trọng số thấp nhất. Tại vùng KTTĐ Miền Trung, các tiêu chí Tiết kiệm năng lượng, nhiên liệu và Thị trường năng lượng sạch được đánh giá có mức độ ưu tiên thấp nhất. Đối với vùng KTTĐ Phía Nam, hai tiêu chí Cơ hội việc làm và Chi phí đầu tư có trọng số thấp nhất, trong khi đó tại vùng KTTĐ ĐBSCL, các tiêu chí Tiết kiệm năng lượng, nhiên liệu và Thị trường năng lượng sạch tiếp tục được đánh giá thấp nhất. Như vậy, có thể nhận thấy rằng tiêu chí Thị trường năng lượng sạch là tiêu chí có mức độ ưu tiên thấp nhất tại 3 trong số 4 vùng KTTĐ.
Bảng 5. Xếp hạng mức độ quan trọng các tiêu chí của vùng KTTĐ Phía Nam
|
Tiêu chí |
Trọng số (W) |
di+ |
di- |
CI |
Xếp hạng |
|---|---|---|---|---|---|
|
Sức khỏe cộng đồng |
0,196 |
0,935 |
0,000 |
1,000 |
1 |
|
Khả năng giảm phát thải KT, KNK |
0,147 |
0,602 |
0,333 |
0,643 |
2 |
|
Phù hợp mục tiêu quản lý CLKK |
0,120 |
0,418 |
0,517 |
0,447 |
3 |
|
Tốc độ tăng trưởng GDP |
0,119 |
0,410 |
0,524 |
0,439 |
4 |
|
Thu hút vốn đầu tư FDI |
0,089 |
0,207 |
0,728 |
0,221 |
5 |
|
Sự đồng thuận của người dân |
0,075 |
0,111 |
0,824 |
0,119 |
6 |
|
Thị trường năng lượng sạch |
0,067 |
0,055 |
0,880 |
0,058 |
7 |
|
Tiết kiệm năng lượng, nhiên liệu |
0,066 |
0,050 |
0,885 |
0,053 |
8 |
|
Cơ hội việc làm |
0,062 |
0,023 |
0,912 |
0,025 |
9 |
|
Chi phí đầu tư |
0,059 |
0,000 |
0,935 |
0,000 |
10 |
Tính theo tỷ lệ phần trăm thì nhóm tiêu chí có trọng số thấp nhất này dao động trong khoảng 5% – 6%. Đáng chú ý, nghiên cứu cho thấy tiêu chí Chi phí đầu tư được đánh giá là ít quan trọng nhất tại vùng KTTĐ Phía Nam. Điều này cho thấy, các tỉnh khu vực này có năng lực tài chính mạnh, do đó chi phí đầu tư từ ngân sách cho các giải pháp bảo vệ CLKK không phải là yếu tố cản trở lớn trong quá trình hoạch định và thực thi chính sách tại đây.
Bảng 6. Xếp hạng mức độ quan trọng các tiêu chí của vùng KTTĐ ĐBSCL
|
Tiêu chí |
Trọng số (W) |
di+ |
di- |
CI |
Xếp hạng |
|---|---|---|---|---|---|
|
Sức khỏe cộng đồng |
0,161 |
0,905 |
0,000 |
1,000 |
1 |
|
Khả năng giảm phát thải KT, KNK |
0,147 |
0,668 |
0,237 |
0,738 |
2 |
|
Chi phí đầu tư |
0,134 |
0,529 |
0,376 |
0,584 |
3 |
|
Phù hợp mục tiêu quản lý CLKK |
0,133 |
0,399 |
0,507 |
0,440 |
4 |
|
Sự đồng thuận của người dân |
0,098 |
0,133 |
0,772 |
0,147 |
5 |
|
Tốc độ tăng trưởng GDP |
0,074 |
0,119 |
0,787 |
0,131 |
6 |
|
Cơ hội việc làm |
0,072 |
0,062 |
0,843 |
0,068 |
7 |
|
Thu hút vốn đầu tư FDI |
0,066 |
0,054 |
0,851 |
0,060 |
8 |
|
Tiết kiệm năng lượng, nhiên liệu |
0,065 |
0,033 |
0,872 |
0,036 |
9 |
|
Thị trường năng lượng sạch |
0,050 |
0,000 |
0,905 |
0,000 |
10 |
Khi xem xét theo từng nhóm tiêu chí, kết quả nghiên cứu cho thấy, mặc dù các vùng KTTĐ có sự tương đồng về thứ tự xếp hạng giữa các tiêu chí, song giá trị trọng số cụ thể lại có sự khác biệt đáng kể. Đối với nhóm tiêu chí kinh tế, tiêu chí Chi phí đầu tư được xác định là có trọng số cao nhất trong số bốn tiêu chí tại ba vùng KTTĐ gồm Bắc Bộ, Miền Trung và ĐBSCL, phản ánh mức độ quan tâm lớn đến yếu tố chi phí trong lựa chọn giải pháp kiểm soát ONKK. Tuy nhiên, tại vùng KTTĐ Phía Nam, tiêu chí này lại có trọng số thấp nhất, trong khi Tốc độ tăng trưởng GDP là tiêu chí được ưu tiên hàng đầu, bên cạnh các tiêu chí như Thu hút vốn FDI và Thị trường năng lượng sạch.
Kết quả này cho thấy sự khác biệt trong cách tiếp cận và ưu tiên kinh tế giữa các vùng. Vùng KTTĐ ĐBSCL đặc biệt đề cao yếu tố tài chính khi triển khai các giải pháp giảm thiểu ONKK, cho thấy nhu cầu cân nhắc hiệu quả đầu tư trong bối cảnh nguồn lực ngân sách còn hạn chế. Ngược lại, vùng KTTĐ Phía Nam, là trung tâm kinh tế lớn có tiềm lực tài chính mạnh mẽ hơn, do đó chi phí đầu tư không phải là yếu tố được đặt lên hàng đầu. Sự khác biệt này phản ánh rõ nét mức độ sẵn sàng về ngân sách và định hướng ưu tiên trong hoạch định chính sách kiểm soát ONKK tại từng vùng KTTĐ.
Đối với nhóm tiêu chí môi trường, các vùng KTTĐ thống nhất về thứ tự ưu tiên: cao nhất là tiêu chí Khả năng giảm phát thải khí thải, khí nhà kính, tiếp theo là Phù hợp mục tiêu quản lý CLKK và thấp nhất là Tiết kiệm năng lượng, nhiên liệu. Tuy nhiên, mức độ ưu tiên cụ thể có sự khác biệt giữa các vùng. Tiêu chí Khả năng giảm phát thải được đánh giá cao nhất tại vùng KTTĐ Bắc Bộ và giảm dần về phía ĐBSCL. Ngược lại, tiêu chí Phù hợp mục tiêu QLCLKK lại được đánh giá cao hơn tại ĐBSCL so với vùng KTTĐ Bắc Bộ.

Hình 4. So sánh giá trị trọng số tiêu chí của 04 vùng KTTĐ
Đối với nhóm xã hội, Sức khỏe cộng đồng là tiêu chí có trọng số cao nhất cho cả bốn vùng KTTĐ và cũng là tiêu chí quan trọng nhất trong bộ hệ thống 10 tiêu chí. Vùng KTTĐ Bắc Bộ có trọng số cao nhất giữa các vùng, trong khi ĐBSCL có giá trị thấp nhất, hai vùng còn lại chênh lệch không đáng kể. Tiêu chí Cơ hội việc làm được vùng KTTĐ ĐBSCL đánh giá ưu tiên cao hơn so với ba vùng còn lại. Trong khi đó, tiêu chí Sự đồng thuận của người dân không khác biệt nhiều về mức quan tâm đối với bốn vùng KTTĐ.
3.2. Thảo luận
Kết quả nghiên cứu cho thấy mức độ quan trọng của các tiêu chí trong lựa chọn giải pháp kiểm soát CLKK có sự khác biệt giữa các vùng KTTĐ, phản ánh sự đa dạng về điều kiện phát triển KT-XH, hiện trạng CLKK và nguồn lực của từng khu vực. Trọng số tiêu chí đóng vai trò quyết định trong việc xác lập thứ tự ưu tiên của các giải pháp, từ đó ảnh hưởng trực tiếp đến tính khả thi và hiệu quả của chính sách.
Nhìn chung, cả bốn vùng KTTĐ đều đặt tiêu chí Sức khỏe cộng đồng ở vị trí ưu tiên hàng đầu, tiếp theo là các tiêu chí liên quan đến ngân sách thực hiện và hiệu quả giảm ONKK. Điều này cho thấy mối quan tâm nhất quán đến mục tiêu bảo vệ sức khỏe người dân trong quá trình lựa chọn giải pháp quản lý CLKK.
Tại vùng KTTĐ Bắc Bộ, kết quả phản ánh rõ tình trạng ô nhiễm và định hướng ưu tiên kiểm soát ONKK, các tiêu chí kinh tế như Tăng trưởng GDP và Thu hút FDI có trọng số thấp hơn, cho thấy sự lựa chọn thận trọng, đặt sức khỏe cộng đồng và kiểm soát ô nhiễm lên trên tăng trưởng kinh tế.
Vùng KTTĐ Miền Trung ưu tiên ba yếu tố chính: Sức khỏe cộng đồng, CLKK và kinh phí thực hiện. Các giải pháp đề xuất phải hướng đến việc cải thiện sức khỏe người dân, nâng cao chất lượng môi trường sống, đồng thời đảm bảo tính khả thi về mặt chi phí trong bối cảnh ngân sách địa phương còn hạn chế. Ngoài ra, các giải pháp cũng cần phù hợp với mục tiêu quản lý CLKK và nhận được sự đồng thuận từ người dân. Các tiêu chí kinh tế như GDP và FDI, hay Cơ hội việc làm mang ý nghĩa hỗ trợ dài hạn nhưng không được ưu tiên hàng đầu trong giai đoạn hiện nay. Đáng chú ý, tiêu chí Thị trường năng lượng sạch được xếp hạng thấp nhất, cho thấy khu vực chưa đánh giá cao vai trò của lĩnh vực này trong quản lý CLKK.
Đối với vùng KTTĐ Phía Nam, với vị thế đầu tàu kinh tế, đánh giá cao những giải pháp có khả năng đồng thời cải thiện sức khỏe cộng đồng, hiệu quả về môi trường và đóng góp vào phát triển kinh tế, trong khi yếu tố chi phí đầu tư lại không phải ưu tiên hàng đầu. Trọng số tương đương giữa các tiêu chí kinh tế và môi trường phản ánh sự cân bằng trong cách tiếp cận giữa tăng trưởng và bảo vệ môi trường của khu vực
Vùng KTTĐ ĐBSCL vẫn ưu tiên hàng đầu đối với sức khỏe cộng đồng, song đồng thời chú trọng cả yếu tố ngân sách và hiệu quả giảm thiểu ONKK. Các tiêu chí như Phù hợp với mục tiêu quản lý CLKK và Cơ hội việc làm cũng được đánh giá cao, phản ánh mối quan tâm đến phát triển bền vững trong cả khía cạnh xã hội và môi trường. Ngược lại, các tiêu chí Thị trường năng lượng sạch, Tăng trưởng GDP, FDI và Sự đồng thuận của người dân có trọng số thấp hơn, cho thấy chưa phải là ưu tiên chiến lược tại thời điểm hiện tại của vùng.
Như vậy, kết quả của nghiên cứu cho thấy việc đánh giá toàn diện các khía cạnh kinh tế, môi trường và xã hội khi lựa chọn giải pháp ưu tiên giảm ONKK là rất cần thiết. Việc đánh giá nhằm đảm bảo tính khách quan và hiệu quả trong bối cảnh phát triển bền vững của các vùng KTTĐ nói riêng và Việt Nam nói chung.
4. KẾT LUẬN
Nghiên cứu đã ứng dụng phương pháp phân tích đa tiêu chí kết hợp AHP-TOPSIS nhằm xác định mức độ quan trọng của các tiêu chí đánh giá giải pháp tối ưu kiểm soát CLKK cho bốn vùng KTTĐ Bắc Bộ, Miền Trung, Phía Nam và ĐBSCL. Kết quả cho thấy, thứ tự ưu tiên các tiêu chí tại từng VKTTĐ có sự khác biệt, phụ thuộc vào đặc điểm KT-XH và hiện trạng môi trường của từng vùng. Nhìn chung, tiêu chí được đánh giá quan trọng nhất tại các VKTTĐ là Sức khỏe cộng đồng (thuộc nhóm tiêu chí xã hội). Điều này nhấn mạnh tầm quan trọng của việc đặt yếu tố sức khỏe cộng đồng lên hàng đầu khi đề xuất các giải pháp giảm thiểu ô nhiễm. Các tiêu chí quan trọng tiếp theo gồm Chi phí đầu tư (thuộc nhóm tiêu chí kinh tế) và Khả năng giảm phát thải khí thải, khí nhà kính (thuộc nhóm tiêu chí môi trường). Hai tiêu chí này đánh giá mức độ phù hợp của tổng mức đầu tư so với ngân sách địa phương và hiệu quả giảm thiểu ô nhiễm của giải pháp. Những phát hiện này cho thấy rằng bên cạnh yếu tố tài chính, các yếu tố môi trường, kinh tế và xã hội đều đóng vai trò quan trọng và cần được xem xét toàn diện, đa chiều trong quá trình áp dụng các giải pháp quản lý CLKK.
Kết quả nghiên cứu cung cấp cơ sở khoa học quan trọng hỗ trợ các nhà quản lý trong việc lựa chọn giải pháp kiểm soát ONKK phù hợp với từng vùng KTTĐ. Phương pháp đánh giá có thể được áp dụng cụ thể cho các tỉnh, thành phố trực thuộc vùng KTTĐ hoặc các khu vực có điều kiện KT-XH tương đồng nhằm tăng cường hiệu quả trong công tác quản lý CLKK.
Tuy nhiên, phương pháp AHP–TOPSIS có mức độ phụ thuộc lớn vào đánh giá chủ quan của chuyên gia. Do đó, yêu cầu đặt ra là các chuyên gia tham gia phải có kiến thức chuyên sâu về phương pháp phân tích đa tiêu chí cũng như hiểu biết toàn diện về đặc điểm môi trường, kinh tế, xã hội, tài chính, y tế và chính sách quản lý CLKK của vùng nghiên cứu. Mặc dù nghiên cứu đã đề xuất các tiêu chí lựa chọn chuyên gia nhằm đảm bảo mức độ phù hợp về chuyên môn và kinh nghiệm, song vẫn cần có các nghiên cứu sâu hơn về quy trình lựa chọn, số lượng và cấu trúc chuyên gia theo lĩnh vực, nhằm nâng cao tính khách quan và độ tin cậy của kết quả. Bên cạnh đó, nghiên cứu chưa đề xuất các nhóm giải pháp cụ thể ứng với từng vùng KTTĐ. Đây là hướng nghiên cứu tiếp theo cần được triển khai nhằm cụ thể hóa kết quả đánh giá và hỗ trợ hiệu quả cho công tác xây dựng chính sách kiểm soát ONKK cấp tỉnh.
Nguyễn Viết Vũ*1, Lê Thị Kim Oanh1, Hồ Quốc Bằng2,3
1Khoa Môi trường, Trường Đại học Văn Lang
2Viện Môi trường và Tài nguyên, Đại học Quốc gia TP.HCM
3Viện Phát triển năng lực lãnh đạo Đại học Quốc gia TP.HCM
(Nguồn: Bài đăng trên Tạp chí Môi trường, số Chuyên đề Khoa học - Công nghệ I/2025)
TÀI LIỆU THAM KHẢO
[1] T. C. T. Kê, Niên giám thống kê - Statistical Yearbook of Viet Nam 2023, Hà Nội: NXB Thống Kê, 2023, p. 1259.
[2] Nghị quyết 128/NQ-CP ngày 11 tháng 9 năm 2020 của Chính Phủ Về các nhiệm vụ, giải pháp đẩy mạnh phát triển các vùng kinh tế trọng điểm, 2020.
[3] H. Q. Bằng et al. (2022) Nghiên cứu tính toán phát thải khí thải nguồn diện và đề xuất giảm thiểu cho Thành phố Hà Nội. Tạp chí Môi trường. 8-15.
[4] TTQT&PTMT Bac Ninh, "Atmospheric emission inventory for Bac Ninh City", 2015.
[5] H. Q. Bằng, N. T. Tâm, and V. H. N. Khuê, "Thiết lập mô hình lan truyền ô nhiễm không khí và xây dựng các giải pháp bảo vệ môi trường không khí phục vụ phát triển bền vững TP.Cần Thơ," 2017.
[6] S. Stefanidis and D. Stathis, "Assessment of flood hazard based on natural and anthropogenic factors using analytic hierarchy process (AHP)," (in E), Natural Hazards, vol. 68, no. 2, pp. 569-585, 2013, doi: 10.1007/s11069-013-0639-5.
[7] H. Lin, T. Pan, and S. Chen, "Comprehensive evaluation of urban air quality using the relative entropy theory and improved TOPSIS method," (in E), Air Quality, Atmosphere & Health, vol. 14, no. 2, pp. 251-258, 2021.
[8] S. M. Mousavi, M. Abbasi, S. Yazdanirad, M. Yazdanirad, and E. Khatooni, "Fuzzy AHP-TOPSIS method as a technique for prioritizing noise control solutions," (in E), Noise Control Engineering Journal, vol. 67, no. 6, pp. 415-421, 2019.
[9] V. T. Linh, "Application of GIS to assess climate change impact and propose adaptation solutions for agriculture in Ho Chi Minh City," PhD, Natural resources and environment management, VNUHCM - Institute for Environment and Resources, VNUHCM - Institute for Environment and Resources, 2017.
[10] N. T. Thuy, "Proposing a Multi-Criteria Decision-Making Approach for Ranking Wetland Ecosystems Prioritized for Conservation and Restoration," (in A), Journal of Geodesy and Cartography, vol. 46, pp. 19-22, 2021.
[11] N. H. Âu and N. T. Điền, "Ứng dụng AHP kết hợp TOPSIS lựa chọn phương án khai thác sử dụng không gian biển phù hợp trên địa bàn huyện Côn Đảo, tỉnh Bà Rịa-Vũng Tàu," Tạp chí Khí tượng Thủy văn, vol. 764, pp. 78-92, 2024, doi: 10.36335/VNJHM.2024(764).78-92
[12] U. Nations, Indicators of Sustainable Development: Guidelines and Methodologies Third ed. New York: United Nations, 2007.
[13] Quyết định số 985a/QĐ-TTg của Thủ tướng Chính phủ: Về việc phê duyệt Kế hoạch hành động quốc gia về quản lý chất lượng không khí đến năm 2020, tầm nhìn đến năm 2025, 2016.
[14] T. L. Saaty, "How to make a decision: the analytic hierarchy process," (in E), Interfaces, vol. 24, no. 6, pp. 19-43, 1994.
[15] C. D. Ly, Environmental System Analysis. Ho Chi Minh City: Vietnam National University Ho Chi Minh City (in A), 2017, p. 301.
[16] C. Hwang, "Yoon k. Multiple attribute decision making and applications," ed: New York, Springer-Verlag, 1981.