16/10/2025
Tóm tắt
Việc dự báo hạn hán thủy văn ở lưu vực Vu Gia - Thu Bồn đang đối mặt với nhiều thách thức, chủ yếu bắt nguồn từ tính biến động cao của chế độ khí hậu và sự thiếu hụt nghiêm trọng trong dữ liệu quan trắc. Nghiên cứu này tập trung vào việc đánh giá khả năng cải thiện hiệu quả dự báo hạn hán thủy văn ngắn hạn bằng cách tích hợp các chỉ số hạn hán từ dữ liệu vệ tinh vào mô hình thống kê ARIMA tại lưu vực sông Vu Gia - Thu Bồn. Các chỉ số vệ tinh được khai thác bao gồm mưa, độ ẩm đất và bốc hơi bề mặt được kết hợp sử dụng cùng chỉ số dòng chảy chuẩn hoá SSI (Standardized Streamflow Index) để xây dựng năm mô hình dự báo khác nhau trên 19 tiểu lưu vực của lưu vực sông. Kết quả đánh giá cho thấy, mô hình ARIMA truyền thống, chỉ dựa vào hồi quy dòng chảy, có hiệu suất kém do xảy ra hiện tượng quá khớp (
= 0.91 và
= 0.25). Ngược lại, việc tích hợp các biến ngoại sinh đã cải thiện đáng kể độ chính xác của mô hình. Đặc biệt, mô hình ARIMAX kết hợp cả ba chỉ số mưa, bốc hơi và độ ẩm đất vệ tinh đã thể hiện hiệu suất vượt trội và ổn định nhất trên toàn bộ các tiểu lưu vực, gần như loại bỏ vấn đề quá khớp và đạt được kết quả đánh giá tốt với hệ số xác định trung bình trên toàn lưu vực sông
= 0.89 và sai số
= 0.05. Nghiên cứu này khẳng định tiềm năng của việc sử dụng dữ liệu vệ tinh trong việc nâng cao hiệu quả và độ tin cậy của các mô hình dự báo hạn hán thủy văn, từ đó cung cấp một công cụ hữu ích cho công tác quản lý tài nguyên nước.
Từ khóa: Dự báo hạn hán, dữ liệu vệ tinh, mô hình ARIMA, SSI, lưu vực sông Vu Gia – Thu Bồn.
Ngày nhận bài: 15/8/2025; Ngày sửa chữa: 8/9/2025; Ngày duyệt đăng: 19 /9/2025. .
ENHANCING SHORT-TERM HYDROLOGICAL DROUGHT FORECASTING USING SATELLITE DATA FOR THE VU GIA – THU BON RIVER BASIN
Abstract
Hydrological drought in the Vu Gia-Thu Bon River Basin has become increasingly difficult to forecast due to the high variability of climate conditions and the scarcity of observational data. This study focuses on evaluating the potential to improve the effectiveness of short-term hydrological drought forecasting by integrating satellite-derived drought indices into the statistical ARIMA model for the Vu Gia-Thu Bon River Basin. The satellite-based indicators employed include precipitation, soil moisture, and surface evaporation, which were combined with interpolated streamflow data to construct five distinct forecasting models across 19 sub-basins of the river system. Evaluation results indicate that the traditional ARIMA model, which relies solely on streamflow regression, performs poorly as a result of overfitting ( = 0.91 và = 0.25). In particular, the ARIMAX model, which integrates three satellite-derived indices—precipitation, evapotranspiration, and soil moisture—demonstrated superior and most stable performance across all sub-basins, effectively mitigating the overfitting problem and achieving robust predictive skill with an average coefficient of determination of = 0.89 and a normalized root mean square error ( ) of 0.05 for the entire basin. This research highlights the potential of leveraging satellite data to enhance the accuracy and reliability of hydrological drought forecasting models, thereby providing a valuable tool for water resources management.
Keywords: Drought Forecasting, Satellite Data, ARIMA Model, Standardized Streamflow Index (SSI), Vu Gia–Thu Bon River Basin.
JEL Classifications: Q15, Q51, Q54, Q58.
1. Đặt vấn đề
Hạn hán là một trong những thiên tai có tác động sâu rộng và kéo dài, gây ra tổn thất lớn về kinh tế - xã hội và môi trường trên phạm vi toàn cầu (Seneviratne et al., 2021; WMO, 2021). Trong đó, hạn hán thủy văn - được đặc trưng bởi sự suy giảm dòng chảy dưới mức trung bình trong sông, hồ và tầng chứa nước - có ảnh hưởng đặc biệt nghiêm trọng đến cấp nước sinh hoạt, sản xuất nông nghiệp, công nghiệp và thủy điện, cũng như đến hệ sinh thái và môi trường hạ du (Mishra & Singh, 2011). Các nghiên cứu chỉ ra rằng trong bối cảnh biến đổi khí hậu, tần suất và cường độ của hạn hán thủy văn dự kiến sẽ gia tăng ở nhiều khu vực trên thế giới, trong đó có Đông Nam Á (Dai, 2011; Vicente-Serrano et al., 2022). Tại Việt Nam, đặc biệt là khu vực miền Trung, hạn hán ngắn hạn xảy ra thường xuyên, gắn liền với đặc điểm khí hậu nhiệt đới gió mùa, mưa tập trung theo mùa và địa hình dốc. Nhiều đợt hạn hán lớn đã được ghi nhận trong các năm 1997-1998, 2015-2016 và 2019-2020, gây suy giảm nghiêm trọng dòng chảy trên các lưu vực sông, ảnh hưởng trực tiếp đến sinh kế của hàng triệu người dân (Bộ Nông nghiệp và Môi trường, 2021; Stojanovic et al., 2020).Trong số các lưu vực chịu tác động mạnh, hệ thống sông Vu Gia - Thu Bồn đóng vai trò đặc biệt quan trọng, không chỉ cung cấp nước cho sản xuất nông nghiệp và công nghiệp, mà còn đảm bảo vận hành thủy điện và cấp nước sinh hoạt cho thành phố Đà Nẵng và các khu vực lân cận (Do et al., 2024; Vu et al., 2017). Do đó, việc xây dựng hệ thống dự báo hạn hán thủy văn ngắn hạn cho lưu vực này là hết sức cấp thiết, góp phần nâng cao khả năng ứng phó và quản lý rủi ro thiên tai.
Trong nhiều thập niên qua, các mô hình thống kê đã được ứng dụng rộng rãi để dự báo hạn hán thủy văn nhờ ưu điểm đơn giản, dễ triển khai và khả năng khai thác đặc tính chuỗi thời gian (Box et al., 2015). Các phương pháp điển hình bao gồm ARIMA, ARIMAX, SARIMAX, vốn cho phép mô hình hóa quá trình biến động của chỉ số hạn hán (như SSI, SPI) và tích hợp các biến ngoại sinh để nâng cao hiệu quả dự báo (Hyndman & Athanasopoulos, 2018). Tuy nhiên, các mô hình thống kê có nhược điểm cơ bản là phụ thuộc chặt chẽ vào chất lượng dữ liệu đầu vào. Ở những khu vực dữ liệu thực đo khan hiếm, gián đoạn hoặc kém cập nhật, hiệu quả dự báo bị suy giảm rõ rệt (Gao et al., 2018). Thực tế tại miền Trung Việt Nam cho thấy, mạng lưới trạm khí tượng - thủy văn phân bố thưa thớt, không đủ phản ánh đặc trưng không gian - thời gian của các yếu tố khí tượng, thủy văn (Group, 2019). Chuỗi dữ liệu ở nhiều trạm bị gián đoạn do các nguyên nhân khách quan (thiên tai, hỏng hóc thiết bị) và chủ quan (hạn chế về nhân lực, kinh phí duy trì). Để bù đắp, nội suy số liệu thường được áp dụng, nhưng phương pháp này tiềm ẩn nhiều sai số và làm giảm độ tin cậy khi sử dụng cho mô hình thống kê (Todini, 2007). Ngoài ra, tính cập nhật không thường xuyên cũng là vấn đề đáng lưu ý: dữ liệu thực đo thường chỉ được công bố định kỳ theo tháng hoặc quý, và nhiều khi có độ trễ lớn so với thời gian thực. Điều này gây bất lợi cho công tác dự báo hạn hán ngắn hạn, vốn đòi hỏi thông tin nhanh chóng và chính xác (Svoboda & Fuchs, 2016). Trong bối cảnh đó, dữ liệu vệ tinh ngày càng được quan tâm như một nguồn thông tin bổ sung quan trọng cho nghiên cứu và dự báo hạn hán. Với ưu thế độ phủ rộng, chuỗi thời gian dài, tính liên tục và khả năng cập nhật gần thời gian thực, dữ liệu vệ tinh có thể cung cấp các biến số quan trọng như mưa (CHIRPS, TRMM, GPM), bốc hơi và cân bằng nước (TerraClimate, MOD16), độ ẩm đất (ESA CCI, SMAP), cũng như các chỉ số viễn thám liên quan đến thảm phủ và sinh trưởng thực vật (NDVI, EVI) (Abatzoglou et al., 2017; CHIRPS, 2023; Gruber et al., 2019). Các nghiên cứu trên thế giới đã chứng minh rằng dữ liệu vệ tinh giúp cải thiện đáng kể khả năng giám sát hạn hán khí tượng và nông nghiệp (Vicente-Serrano et al., 2010; Zargar et al., 2011).
Tuy nhiên, phần lớn các nghiên cứu mới chỉ dừng lại ở việc sử dụng dữ liệu vệ tinh để xây dựng hoặc hiệu chỉnh chỉ số hạn hán khí tượng (SPI, SPEI, VHI…), hoặc ứng dụng trong giám sát biến động độ ẩm đất và thảm phủ. Trong khi đó, vai trò bổ trợ trực tiếp của dữ liệu vệ tinh đối với các mô hình thống kê dự báo hạn hán thủy văn vẫn chưa được đánh giá đầy đủ, đặc biệt tại các lưu vực miền Trung Việt Nam. Khoảng trống này đặt ra câu hỏi khoa học: liệu dữ liệu vệ tinh, khi được tích hợp vào mô hình thống kê, có thể giúp cải thiện độ chính xác và độ tin cậy của dự báo hạn hán thủy văn ngắn hạn hay không?
Xuất phát từ thực tiễn trên, nghiên cứu này được thực hiện với mục tiêu đánh giá khả năng cải thiện của dữ liệu vệ tinh đối với các mô hình thống kê dự báo hạn hán thủy văn ngắn hạn tại lưu vực sông Vu Gia - Thu Bồn. Nghiên cứu tập trung vào việc so sánh hai kịch bản: (i) chỉ sử dụng dữ liệu thực đo; và (ii) tích hợp dữ liệu vệ tinh bổ sung. Kết quả kỳ vọng sẽ cung cấp bằng chứng khoa học rõ ràng về vai trò bổ trợ của dữ liệu vệ tinh, qua đó đề xuất giải pháp tăng cường dự báo hạn hán thủy văn ngắn hạn tại các lưu vực thiếu hụt dữ liệu, hướng tới xây dựng hệ thống cảnh báo sớm phục vụ quản lý tài nguyên nước và giảm nhẹ rủi ro thiên tai.
2. Dữ liệu và phương pháp nghiên cứu

Hình 1. Lưu vực sông Vu Gia - Thu Bồn
Lưu vực sông Vu Gia - Thu Bồn (VGTB) là một trong những hệ thống sông quan trọng nhất ở Duyên hải Trung Trung Bộ, giữ vai trò chiến lược trong cấp nước sinh hoạt, nông nghiệp, công nghiệp, thủy điện và bảo đảm an ninh nguồn nước cho Quảng Nam và Đà Nẵng. Lưu vực có diện tích khoảng 10.350 km², trải dài qua ba tỉnh thành, với hai dòng chính: Vu Gia (204 km) và Thu Bồn (152 km) (Bộ Nông nghiệp và Môi trường, 2021). Đặc điểm thủy văn nổi bật của hệ thống này là sự trao đổi nước qua sông Quảng Huế và sông Vĩnh Điện, giúp điều hòa dòng chảy giữa mùa mưa và mùa khô. VGTB nằm trong vùng khí hậu nhiệt đới gió mùa, có lượng mưa trung bình 2.000 - 4.000 mm/năm, song phân bố không đều, 70-80% tập trung vào bốn tháng cuối năm. Dòng chảy mang tính “ngắn, dốc, nhanh”, mùa mưa thường gây lũ lớn, còn mùa khô thì thiếu nước nghiêm trọng (Van Tra et al., 2018). Sự hiện diện của nhiều hồ chứa thủy điện lớn (A Vương, Đăk Mi 4, Sông Bung, Sông Tranh 2) làm biến đổi mạnh chế độ dòng chảy và đôi khi tạo mâu thuẫn lợi ích giữa phát điện, tưới tiêu và cấp nước hạ du. Trong nhiều thập kỷ, VGTB liên tục hứng chịu hạn hán nghiêm trọng, đặc biệt trong các năm El Niño (1997-1998, 2015-2016, 2019-2020). Năm 2015-2016, mưa giảm 25-50% và dòng chảy giảm tới 60-70%; năm 2019-2020, hạn kết hợp xâm nhập mặn gây thiếu nước trầm trọng cho Đà Nẵng (FAO, 2017). Dưới tác động biến đổi khí hậu, tần suất và cường độ các hiện tượng cực đoan được dự báo sẽ tăng (Group, 2019; IPCC, 2021).
Trong bối cảnh đó, tích hợp dữ liệu vệ tinh trở nên cấp thiết. VGTB cũng đại diện điển hình cho các lưu vực miền Trung: diện tích trung bình, địa hình dốc ngắn, mưa tập trung, rủi ro kép hạn - lũ, nhu cầu khai thác đa dạng và giá trị văn hóa - sinh thái đặc biệt (Hội An - Di sản Thế giới) (Gao et al., 2018).
2.2. Dữ liệu nghiên cứu
Bảng 1. Những dữ liệu sử dụng trong đề tài
|
Loại dữ liệu |
Nguồn |
Độ phân giải |
Thời đoạn chuẩn hóa |
Vai trò |
|---|---|---|---|---|
|
Dòng chảy (Q) |
MIKE 11 |
Chia thành 19 tiểu lưu vực |
SSI-1 |
Biến mục tiêu |
|
Mưa (RF) |
CHIRPS v2.0 |
0.05° Tổng các ô trong cùng tiểu lưu vực |
SPI-1, SPI-3, SPI-6 |
Biến ngoại sinh |
|
Bốc thoát hơi (Eva) |
ERA5-Land |
0.1° Tổng các ô trong cùng tiểu lưu vực |
SEI-1, SEI-3, SEI-6 |
Biến ngoại sinh |
|
Độ ẩm đất (SM) |
ERA5-Land, Layer 1 |
0.1° Tổng các ô trong cùng tiểu lưu vực |
SMI-1, SMI-3, SMI-6 |
Biến ngoại sinh |
Nghiên cứu này sử dụng kết hợp dữ liệu dòng chảy thực đo (được nội suy từ mô hình thủy văn MIKE) và dữ liệu viễn thám nhằm đánh giá khả năng cải thiện của dữ liệu vệ tinh đối với mô hình thống kê dự báo hạn hán thủy văn ngắn hạn. Tất cả dữ liệu được quy đổi về tần suất trung bình tháng, và cùng được xét trong cùng giai đoạn phân tích là 1981-2020.
Dữ liệu dòng chảy tháng tại các tiểu lưu vực thuộc hệ thống Vu Gia - Thu Bồn được nội suy từ kết quả mô phỏng của mô hình MIKE 11 cho giai đoạn 1981-2020. Đây là nguồn dữ liệu quan trọng nhất để tính toán SSI (Chỉ số dòng chảy chuẩn hoá) - chỉ số hạn hán thuỷ văn mục tiêu của nghiên cứu. Dữ liệu dòng chảy MIKE được coi là đại diện cho chuỗi thực đo khi tại lưu vực này các trạm quan trắc thủy văn còn hạn chế, gián đoạn và phân bố không đều (Gao et al., 2018).
Dữ liệu mưa vệ tinh được đề tài khai thác từ bộ sản phẩm CHIRPS (Climate Hazards Group InfraRed Precipitation with Station data) cho giai đoạn 1981-2020 với độ phân giải 0.05° (~5 km). CHIRPS được đánh giá cao trong nghiên cứu hạn hán nhờ kết hợp ảnh hồng ngoại vệ tinh với dữ liệu quan trắc trạm mưa, cho phép xây dựng chuỗi dài hạn và độ phủ rộng (CHIRPS, 2023). Lượng mưa tháng được tổng hợp từ dữ liệu ngày và chuẩn hóa thành SPI-1, SPI-3 và SPI-6.
Dữ liệu bốc thoát hơi nước vệ tinh được lấy từ ERA5-Land, sản phẩm tái phân tích khí hậu toàn cầu của ECMWF với độ phân giải không gian 0.1°. Chuỗi bốc thoát hơi tháng giai đoạn 1981-2020 được chuẩn hoá thành SEI ở các thang 01, 03 và 06 tháng (Hersbach et al., 2020).
Dữ liệu độ ẩm đất vệ tinh cũng được lấy từ ERA5-Land. Đề tài lựa chọn dữ liệu độ ẩm đất tầng mặt (Layer 1, độ sâu 0-7 cm)vì xác định đây là biến có ý nghĩa quan trọng trong nghiên cứu hạn hán khi nó phản ánh trực tiếp tình trạng nước trong đất - yếu tố chi phối đến sản xuất nông nghiệp và dòng chảy kiệt mùa khô (Hersbach et al., 2020). Dữ liệu độ ẩm đất tháng cũng sẽ được chuẩn hóa theo 03 thời đoạn thành SMI-1, SMI-3 và SMI-6.
Để đảm bảo khả năng so sánh và tích hợp giữa các nguồn dữ liệu khác nhau, toàn bộ chuỗi thời gian được chuẩn hóa theo một quy trình thống nhất. Trước hết, các dữ liệu gốc theo ngày hoặc giờ được quy đổi về tần suất tháng. Đối với mưa, giá trị tháng được tính bằng tổng lượng mưa; trong khi đó, bốc thoát hơi và độ ẩm đất được tính bằng giá trị trung bình tháng. Tiếp theo, các chuỗi số liệu này được chuẩn hóa thành các chỉ số hạn chuyên biệt. Lượng mưa được chuẩn hóa theo SPI bằng cách khớp phân phối Gamma và chuyển đổi về phân phối chuẩn theo công thức sau (McKee et al., 1993):

Trong đó,
là tham số hình dạng,
là tham số tỉ lệ,
là hàm Gamma. Tương tự, chuỗi bốc thoát hơi và độ ẩm đất cũng sẽ được chuẩn hóa thành SEI và SMI dựa trên cùng nguyên lý. Đối với dòng chảy, chuỗi số liệu MIKE được chuẩn hóa thành SSI bằng cách sử dụng phân phối Log-Normal, vốn phù hợp hơn với đặc tính lệch phải của dữ liệu thủy văn theo công thức (Stedinger, 1980):

Trong đó,
là hàm phân phối tích lũy của phân phối chuẩn,
là giá trị trung bình của logarit dòng chảy,
là độ lệch chuẩn của logarit dòng chảy.
Mục đích cuối cùng của bước chuẩn hoá này là đưa các tập dữ liệu đều về dạng phân phối chuẩn, làm đầu vào cho các bước nghiên cứu tiếp theo.
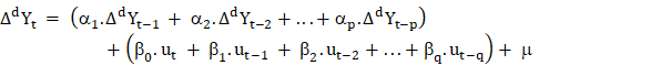
Trong nghiên cứu này, các thí nghiệm mô hình thống kê được thiết kế xoay quanh năm kịch bản, nhằm đánh giá tuần tự và có hệ thống vai trò bổ trợ của dữ liệu vệ tinh đối với dự báo hạn hán thủy văn ngắn hạn. Các mô hình được lựa chọn dựa trên nền tảng chuỗi thời gian truyền thống, cụ thể là ARIMA và ARIMAX. Đây là những phương pháp phổ biến và mạnh mẽ trong phân tích chuỗi thời gian, được ứng dụng nhằm mô tả và dự báo dữ liệu chuỗi bằng cách kết hợp 03 quá trình chính: tự hồi quy (AR), lấy sai phân (I) và trung bình trượt (MA). Phương trình tổng quát của ARIMA có thể được khái quát như sau:

Trong đó,
là sai phân bậc d của chỉ số hạn hán Yt tại thời điểm t, ai là hệ số tự hồi quy thể hiện mức độ ảnh hưởng của các giá trị quá khứ lên giá trị hiện tại, bi là các hệ số trung bình trượt và m là hằng số trung bình.
ARIMAX là phiên bản cải tiến của ARIMA, với việc bổ sung một hoặc nhiều biến ngoại sinh X nhằm cải thiện hiệu suất của dự báo. Theo cách tổng quát, mô hình ARIMAX có thể được biểu diễn như sau:

Trong nghiên cứu này, ARIMA được dùng như một chuẩn so sánh cơ bản, trong khi ARIMAX cho phép kết hợp thêm các biến vệ tinh. Việc đưa các biến SPI, SEI và SMI ở thang 1, 3 và 6 tháng vào mô hình giúp phản ánh đa chiều hơn mối liên hệ giữa điều kiện khí quyển - đất - thủy văn với diễn biến dòng chảy.
Kịch bản đầu tiên (KB0) đóng vai trò cơ sở, trong đó mô hình ARIMA chỉ sử dụng chuỗi SSI tính từ dòng chảy MIKE mà không đưa thêm biến ngoại sinh. Đây là cách tiếp cận truyền thống, phản ánh tình huống nghiên cứu phụ thuộc hoàn toàn vào dữ liệu dòng chảy. Ba kịch bản tiếp theo (KB1, KB2, KB3) lần lượt mở rộng mô hình theo hướng ARIMAX, với việc bổ sung riêng rẽ từng loại dữ liệu vệ tinh: KB1 tích hợp chuỗi SPI-1,3,6 tính từ mưa CHIRPS, KB2 sử dụng SEI-1,3,6 chuẩn hóa từ chuỗi bốc thoát hơi ERA5, và KB3 đưa vào SMI-1,3,6 từ độ ẩm đất tầng mặt ERA5. Cách thiết kế này cho phép đánh giá trực tiếp mức độ đóng góp của từng biến ngoại sinh đến khả năng mô phỏng và dự báo SSI. Kịch bản cuối cùng (KB123) là bước tổng hợp, trong đó mô hình ARIMAX được xây dựng với đồng thời cả ba biến ngoại sinh SPI, SEI và SMI tại các thời đoạn. Đây là kịch bản quan trọng nhằm kiểm chứng giả thuyết rằng sự kết hợp đồng thời nhiều biến khí tượng - đất - thủy văn có thể nâng cao độ tin cậy của dự báo hơn so với khi xét riêng lẻ từng nguồn dữ liệu.
Hiệu quả mô hình được đánh giá thông qua các chỉ tiêu thống kê phổ biến trong lĩnh vực thủy văn. Hệ số xác định R² được sử dụng để phản ánh mức độ giải thích biến động của mô hình. Chỉ số Căn bậc hai bình phương trung bình sai số chuẩn hoá (NRMSE) và sai số trung bình tuyệt đối (MAE) được tính toán nhằm đo lường độ lệch tuyệt đối và độ lệch bình phương trung bình giữa giá trị mô phỏng và quan sát. So sánh kết quả giữa năm kịch bản này cho phép lượng hóa một cách hệ thống mức độ cải thiện mà dữ liệu vệ tinh mang lại cho các mô hình thống kê. Sự khác biệt giữa KB0 và các kịch bản có biến ngoại sinh thể hiện trực tiếp vai trò bổ trợ của dữ liệu vệ tinh, trong khi sự so sánh giữa KB1, KB2, KB3 và KB123 cho phép thảo luận sâu hơn về biến nào có giá trị dự báo cao nhất và liệu sự kết hợp có mang lại lợi ích bổ sung đáng kể hay không.
Hình 2 biểu thị kết quả so sánh giữa mô hình ARIMA thuần túy và các biến thể ARIMAX cho thấy một thông điệp rõ ràng và nhất quán: việc tích hợp các biến ngoại sinh đã cải thiện đáng kể hiệu năng của mô hình dự báo hạn ngắn hạn. Trên cả hai chỉ số SSI-1 và SSI-3, ARIMA thể hiện khả năng mô phỏng khá tốt ở giai đoạn huấn luyện, với giá trị R² cao và sai số thấp. Tuy nhiên, khi áp dụng cho dữ liệu kiểm định, hiệu quả dự báo suy giảm rõ rệt, phản ánh hạn chế cố hữu của các mô hình chỉ dựa vào cấu trúc nội sinh của chuỗi. Hiện tượng này là một dạng overfitting điển hình, khi mô hình khớp tốt với dữ liệu quá khứ nhưng không có khả năng tổng quát hóa trong điều kiện mới. Ngược lại, các mô hình ARIMAX - đặc biệt là khi đưa vào lượng mưa, bốc hơi, độ ẩm đất hoặc kết hợp đồng thời cả ba - đều cho kết quả vượt trội hơn hẳn trong giai đoạn kiểm định. Các chỉ số R² tăng mạnh, đồng thời NRMSE và MAE giảm xuống đáng kể, chứng minh rằng thông tin ngoại sinh giúp gia tăng sức mạnh giải thích và cải thiện tính chính xác của dự báo. Thực tế này phản ánh bản chất của hạn hán thủy văn: đây không phải là hiện tượng thuần túy ngẫu nhiên, mà chịu sự chi phối trực tiếp từ các tác động khí tượng - thủy văn bên ngoài. Vì vậy, việc bổ sung các biến ngoại sinh không chỉ gia tăng dữ liệu đầu vào mà còn đưa vào mô hình những tín hiệu vật lý có ý nghĩa, qua đó giảm thiểu nguy cơ sai lệch do phụ thuộc quá nhiều vào cấu trúc tự hồi quy.
Điểm quan trọng là sự cải thiện này diễn ra một cách nhất quán ở cả hai thang thời gian. SSI-1 phản ánh hạn ngắn hạn nên nhạy cảm tức thời với biến động của mưa, bốc hơi và độ ẩm đất; SSI-3 mang tính tích lũy nên một phần biến động vẫn có thể được nắm bắt bởi cấu trúc tự hồi quy. Dù mức độ cải thiện có khác nhau, xu thế chung vẫn rõ ràng: các biến ngoại sinh đóng vai trò tất yếu trong việc nâng cao chất lượng dự báo. Điều này hoàn toàn phù hợp với hướng đi chung của nhiều nghiên cứu quốc tế, nơi các mô hình đa biến hoặc lai ghép ngày càng được ưu tiên thay cho mô hình đơn biến truyền thống.
|
(a)
|
|
(b)
|
Hình 2. Biểu đồ Taylor so sánh hiệu năng các mô hình ARIMA và ARIMAX trong mô phỏng chỉ số SSI-1 và SSI-3 trên toàn lưu vực (a) Thời đoạn 01 tháng,(b) Thời đoạn 03 tháng
Để đánh giá khách quan hiệu năng mô hình, nghiên cứu này thiết lập bộ tiêu chí phân ngưỡng dựa trên hai chỉ số chính: hệ số xác định (R²) và sai số chuẩn hóa (NRMSE). Theo nhiều tài liệu nghiên cứu trên thế giới (Gupta et al., 2009; Moriasi et al., 2007), R² > 0.85 và NRMSE < 0.05 được coi là mức rất tốt (đánh dấu màu xanh), R² > 0.5 và NRMSE < 0.1 được coi là trung bình (màu vàng), trong khi các trường hợp còn lại được xếp vào nhóm kém (màu đỏ). Ngưỡng đánh giá này, mặc dù khắt khe, cho phép nhận diện một cách minh bạch các mô hình thực sự có năng lực dự báo tin cậy trong bối cảnh tác nghiệp.
Phân tích hiệu năng mô hình theo hai thang thời gian, SSI-1 (01 tháng) và SSI-3 (03 tháng), cho thấy sự phân hóa rõ rệt giữa các mô hình, đồng thời phản ánh vai trò khác nhau của các biến ngoại sinh theo độ dài tích lũy. Ở thang SSI-1, mô hình ARIMA thuần túy hoàn toàn thất bại khi 19/19 tiểu lưu vực (TLV) đều bị xếp vào nhóm “Không đạt”. Đây là minh chứng rõ ràng rằng mô hình đơn biến không đủ khả năng tái hiện động thái hạn ngắn hạn, vốn phụ thuộc mạnh vào các tác nhân khí tượng - thủy văn bên ngoài. Trong các biến thể ARIMAX, ARIMAX_P và ARIMAX_SM nổi bật nhất với cùng 7 TLV đạt mức “Tốt”. Tuy nhiên, trong khi ARIMAX_P có thêm tới 11 TLV đạt “Trung bình” và chỉ còn 1 TLV “Không đạt”, thì ARIMAX_SM lại có sự phân bố không đồng đều hơn (7 “Tốt” nhưng tới 9 “Không đạt”). Điều này cho thấy lượng mưa mang lại mức độ ổn định cao trên phạm vi toàn lưu vực, trong khi độ ẩm đất có vai trò quyết định ở một số khu vực, song tính khái quát chưa thật sự đồng đều. ARIMAX_full chỉ đạt 6 TLV “Tốt” và 4 TLV “Trung bình”, tức là chưa vượt trội so với các biến đơn biến, phản ánh rằng sự kết hợp đa biến trong thang thời gian ngắn chưa chắc đã tạo ra hiệu năng vượt trội. ARIMAX_E tỏ ra hạn chế hơn cả, với chỉ 2 TLV “Tốt” và phần lớn rơi vào nhóm “Không đạt”.
Bảng 2. Thống kê mức độ hiệu quả các mô hình dự báo theo tiểu lưu vực
|
Tiểu lưu vực |
Thời đoạn 01 tháng |
Thời đoạn 03 tháng |
||||||||
|---|---|---|---|---|---|---|---|---|---|---|
|
(KB0) |
(KB1) |
(KB2) |
(KB3) |
(KB123) |
(KB0) |
(KB1) |
(KB2) |
(KB3) |
(KB123) |
|
|
A_VUONG |
3 |
2 |
3 |
3 |
3 |
3 |
2 |
3 |
2 |
3 |
|
BUNG |
3 |
2 |
3 |
3 |
3 |
3 |
3 |
3 |
2 |
3 |
|
BUNG_4 |
3 |
1 |
2 |
1 |
3 |
3 |
3 |
2 |
3 |
3 |
|
DAK_MI_4 |
3 |
1 |
1 |
1 |
1 |
3 |
1 |
2 |
1 |
1 |
|
HL_THU_BON |
3 |
1 |
3 |
2 |
1 |
3 |
2 |
3 |
2 |
1 |
|
HL_VU_GIA |
3 |
2 |
2 |
2 |
1 |
3 |
1 |
2 |
1 |
1 |
|
LY_LY |
3 |
2 |
2 |
3 |
1 |
3 |
2 |
1 |
2 |
3 |
|
NONG_SON |
3 |
1 |
2 |
1 |
3 |
3 |
1 |
1 |
1 |
1 |
|
NONG_SON_1 |
3 |
2 |
3 |
3 |
3 |
3 |
2 |
1 |
2 |
2 |
|
SCON |
3 |
1 |
1 |
1 |
1 |
3 |
1 |
2 |
1 |
3 |
|
SCON_1 |
3 |
2 |
3 |
1 |
3 |
3 |
3 |
1 |
3 |
3 |
|
SCON_2 |
3 |
2 |
2 |
3 |
3 |
3 |
1 |
2 |
1 |
3 |
|
STUYLOAN |
3 |
2 |
2 |
3 |
2 |
3 |
3 |
2 |
3 |
2 |
|
SONG_TRANH_2 |
3 |
2 |
2 |
3 |
3 |
3 |
2 |
1 |
1 |
1 |
|
THANH_MY |
3 |
2 |
3 |
1 |
3 |
3 |
3 |
2 |
3 |
3 |
|
TL_THU_BON |
3 |
1 |
2 |
3 |
2 |
3 |
2 |
2 |
3 |
2 |
|
TL_VU_GIA |
3 |
3 |
2 |
2 |
2 |
3 |
2 |
3 |
1 |
1 |
|
TRUONG_GIANG |
3 |
1 |
3 |
1 |
1 |
3 |
2 |
2 |
2 |
1 |
|
VINH_DIEN |
3 |
2 |
2 |
3 |
2 |
3 |
2 |
2 |
1 |
2 |
Chú thích:
|
R² > 0.85 & NRMSE < 0.05 |
Tốt |
1 |
|
R² > 0.50 & NRMSE < 0.1 |
Trung bình |
2 |
|
Còn lại |
Không đạt |
3 |
Ở thang SSI-3, xu thế thay đổi đáng kể. ARIMA tiếp tục hoàn toàn không đạt yêu cầu, với 19/19 TLV ở mức “Không đạt”. Trong khi đó, ARIMAX_SM trở thành mô hình hiệu quả nhất, với 8 TLV “Tốt” và 6 TLV “Trung bình”, chỉ còn 5 TLV “Không đạt”. Kết quả này nhấn mạnh rằng trong trung hạn, độ ẩm đất đóng vai trò then chốt, phản ánh khả năng tích trữ và giải phóng nước của lưu vực, vốn chi phối trực tiếp đến tình trạng hạn kéo dài. ARIMAX_full xếp ngay sau, với 7 TLV “Tốt” và 4 TLV “Trung bình”. Mặc dù ít “Tốt” hơn so với ARIMAX_SM, song mô hình này vẫn thể hiện tính ổn định nhờ khả năng tổng hợp đa nguồn thông tin. ARIMAX_P và ARIMAX_E có kết quả tương đối cân bằng, mỗi mô hình đạt 5 TLV “Tốt” và lần lượt 9 và 10 TLV “Trung bình”. Sự gia tăng này cho thấy ở thang trung hạn, vai trò của mưa và bốc hơi được phản ánh rõ ràng hơn so với ở SSI-1.
Tổng thể, kết quả cho thấy một xu thế phân hóa theo thời gian: ở thang ngắn (SSI-1), ARIMAX_P mang lại hiệu năng ổn định hơn trên phạm vi rộng, trong khi ARIMAX_SM chỉ nổi bật ở một số lưu vực nhạy cảm; ngược lại, ở thang trung hạn (SSI-3), ARIMAX_SM khẳng định vai trò vượt trội, trong khi ARIMAX_full mang lại hiệu quả ổn định và khái quát hơn. Những phát hiện này củng cố quan điểm rằng lựa chọn mô hình tối ưu không chỉ phụ thuộc vào loại biến ngoại sinh, mà còn cần gắn với đặc trưng thời gian của chỉ số hạn.

Hình 3. Hiệu quả các mô hình dự báo hạn hán ngắn hạn tại LVS Vu Gia - Thu Bồn
Việc phân tích hiệu năng mô hình theo thượng - trung - cận hạ lưu và hạ lưu chính cung cấp một góc nhìn không gian quan trọng, bổ sung cho đánh giá thuần túy theo thời đoạn. Thực tế cho thấy, hiệu quả của từng mô hình không phân bố đồng đều, mà phản ánh rõ nét đặc trưng thủy văn - khí tượng và mức độ tác động nhân sinh tại các tiểu lưu vực (TLV).
Ở khu vực thượng nguồn, bao gồm các TLV như A_VUONG, BUNG_4, DAK_MI_4, LY_LY, NONG_SON_1, SCON_1 và SCON_2, mô hình ARIMAX_SM thể hiện ưu thế nổi bật, đặc biệt ở thang SSI-3 với 8 TLV đạt mức “Tốt”. Điều này phản ánh vai trò then chốt của độ ẩm đất như một biến trạng thái tích lũy. Ở các lưu vực có địa hình dốc, ít chịu điều tiết cùng các tác động nhân sinh, quá trình hình thành và duy trì dòng chảy nền phụ thuộc nhiều vào khả năng lưu giữ và giải phóng nước trong tầng đất. Việc tích hợp SM vào mô hình cho phép tái hiện chính xác “bộ nhớ thủy văn” vốn quyết định động thái hạn hán tại khu vực này. Ngoài ra, một số TLV như LY_LY còn cho thấy ARIMAX_E có kết quả khả quan, gợi ý rằng ở những vùng khô hạn, bốc hơi cũng có thể chi phối mạnh quá trình cạn kiệt nguồn nước. Ở khu vực trung lưu, gồm BUNG, NONG_SON và SCON, các kết quả cho thấy ARIMAX_P thường ổn định hơn ở SSI-1, trong khi ARIMAX_E và ARIMAX_full thể hiện ưu thế rõ rệt ở SSI-3. Đây là những lưu vực chuyển tiếp, vừa tiếp nhận dòng chảy từ thượng nguồn, vừa chịu bốc hơi mạnh hơn do diện tích nông nghiệp và mặt thoáng nước lớn. Kết quả này cho thấy mưa vẫn là biến cốt lõi trong dự báo ngắn hạn, nhưng khi xét đến trung hạn, sự kết hợp thêm bốc hơi hoặc tích hợp đa biến lại cần thiết để nắm bắt các quá trình phức hợp.
Ở khu vực cận hạ lưu, bao gồm STUYLOAN, SONG_TRANH_2 và THANH_MY, kết quả có tính không đồng nhất. SONG_TRANH_2 nổi bật khi ARIMAX_SM và ARIMAX_full đều đạt mức “Tốt” ở SSI-3, cho thấy khả năng phản ánh toàn diện khi có sự hội tụ nhiều yếu tố điều khiển. Ngược lại, STUYLOAN và THANH_MY thường chỉ đạt mức Trung bình hoặc Kém, phản ánh khó khăn trong mô phỏng tại các lưu vực vừa chịu tác động tự nhiên, vừa có dấu ấn nhân sinh rõ rệt (thủy điện, điều tiết nước, khai thác). Trong bối cảnh này, ARIMAX_full vẫn được xem là phương án ổn định nhất nhờ khả năng tích hợp đa chiều và giảm thiểu sai lệch từ việc thiếu thông tin. Ở khu vực hạ lưu chính, gồm HL_THU_BON, HL_VU_GIA, TL_THU_BON, TL_VU_GIA, TRUONG_GIANG và VINH_DIEN, xu thế nổi bật là sự vượt trội của ARIMAX_full. Với 7 TLV đạt mức “Tốt” và 4 TLV “Trung bình” ở SSI-3, mô hình này cho thấy ưu thế vượt trội về tính ổn định. Hạ lưu là nơi hội tụ tác động tổng hợp từ thượng nguồn, trung lưu, và chịu ảnh hưởng trực tiếp từ hoạt động nhân sinh như thủy lợi, đô thị và sản xuất nông nghiệp. Trong bối cảnh này, không một biến đơn lẻ nào (P, E hoặc SM) có thể tái hiện đầy đủ, mà chỉ khi tích hợp đa biến, mô hình mới đạt được khả năng mô tả và dự báo đáng tin cậy.
Tổng hợp lại, có thể nhận diện một xu thế không gian khá rõ rệt: thượng nguồn phù hợp nhất với ARIMAX_SM (nhấn mạnh độ ẩm đất), trung lưu nhạy cảm với ARIMAX_E (bốc hơi) và ARIMAX_full (đa biến), cận hạ lưu đòi hỏi ARIMAX_full để bao quát sự phức hợp, và hạ lưu chính hầu như chỉ có thể dự báo tốt bằng ARIMAX_full. Xu thế này vừa phản ánh đúng đặc tính thủy văn theo không gian, vừa gợi ý định hướng lựa chọn mô hình cho các ứng dụng thực tiễn. Từ góc nhìn phương pháp luận, kết quả trên cho thấy rằng việc lựa chọn mô hình không nên đồng nhất cho toàn lưu vực mà cần tiếp cận phân vùng, dựa vào đặc trưng thủy văn - khí hậu và vị trí địa lý. ARIMAX_full tỏ ra phù hợp nhất để áp dụng rộng rãi ở quy mô toàn lưu vực nhờ tính khái quát và ổn định, trong khi ARIMAX_SM và ARIMAX_E lại mang tính chuyên biệt và có giá trị cao khi triển khai ở cấp tiểu lưu vực. Đây là cơ sở quan trọng để xây dựng hệ thống dự báo hạn ngắn hạn có khả năng vừa đảm bảo độ tin cậy tổng thể, vừa phản ánh được sự khác biệt không gian trong nội tại của lưu vực sông.
|
|
|
|
|
|
Hình 4. Kết quả dự báo chỉ số SSI cho một số tiểu lưu vực
Ý nghĩa của nghiên cứu này không chỉ dừng lại ở việc cải thiện các chỉ số thống kê, mà còn mở rộng sang giá trị ứng dụng trong quản lý tài nguyên nước và phòng chống thiên tai. Đối với nhà quản lý, một hệ thống dự báo hiệu quả phải đảm bảo khả năng vận hành ổn định trong điều kiện biến đổi, chứ không đơn thuần là công cụ tái hiện quá khứ. Kết quả cho thấy việc tích hợp các biến ngoại sinh, đặc biệt từ nguồn viễn thám, đã góp phần nâng cao tính tin cậy và khả năng khái quát hóa, đồng thời khắc phục phần nào hạn chế do thiếu hụt quan trắc mặt đất – một thách thức còn phổ biến tại nhiều lưu vực ở Việt Nam và trên thế giới.
Tổng kết, khung mô hình ARIMAX với sự bổ sung các biến ngoại sinh đã chứng minh ưu thế vượt trội so với ARIMA thuần túy, cả về mặt kỹ thuật lẫn định hướng phát triển. Đây không chỉ là một cải tiến phương pháp, mà còn là cơ sở quan trọng để xây dựng hệ thống dự báo hạn hán ngắn hạn có tính ứng dụng cao. Việc kết hợp đồng thời các thông tin về mưa, bốc hơi, độ ẩm đất và các chỉ số khí tượng - thủy văn liên quan sẽ là hướng đi tất yếu, giúp các mô hình vừa duy trì nền tảng thống kê chặt chẽ, vừa phản ánh được cơ chế vật lý nội tại. Điều này mở ra triển vọng phát triển những công cụ dự báo hạn hán đáng tin cậy hơn, phù hợp với bối cảnh biến đổi khí hậu toàn cầu ngày càng bất định, và có giá trị thực tiễn trực tiếp đối với công tác quản lý và hoạch định chính sách.
Đóng góp của tác giả: Xây dựng ý tưởng, Phương pháp nghiên cứu, Phân tích kết quả và Viết bản thảo bài báo: Nguyễn Thành Long; Tính toán: Hoàng Thị Thảo, Nguyễn Hoàng Bách; Xử lý số liệu: Lê Văn Linh, Đỗ Thị Ngọc Bích, Hoàng Bích Ngọc, Nguyễn Hoàng Bách, Nguyễn Thành Long, Lê Thu Hà; Định hướng nghiên cứu và chỉnh sửa bài báo: Nguyễn Tú Anh.
Lời cảm ơn: Bài báo hoàn thành nhờ vào kết quả của đề tài khoa học công nghệ cấp cơ sở “Nghiên cứu dự báo hạn hán ngắn hạn dựa trên phương pháp thống kê và không gian địa lý cho lưu vực sông Vu Gia – Thu Bồn” Mã số: CS.2025.30 do Viện Khoa học tài nguyên nước chủ trì thực hiện.
Lời cam đoan: Tập thể tác giả cam đoan bài báo này là công trình nghiên cứu của mình, chưa từng công bố trước đó, không sao chép, đạo văn; không có sự tranh chấp lợi ích trong nhóm tác giả.
Nguyễn Thành Long 1*, Nguyễn Tú Anh1, Lê Văn Linh1, Đỗ Thị Ngọc Bích1, Hoàng Thị Thảo1, Hoàng Bích Ngọc1, Nguyễn Hoàng Bách1, Lê Thu Hà1
1Viện Khoa học tài nguyên nước
(Nguồn: Bài đăng trên Tạp chí Môi trường số 9/2025)
Abatzoglou, J., Dobrowski, S., Parks, S., & Hegewisch, K. (2017). Monthly climate and climatic water balance for global terrestrial surfaces from 1958-2015. Northwest Knowledge Network.
Bộ Nông nghiệp và Môi trường. (2021). Báo cáo Hiện trạng môi trường quốc gia. NXB Dân Trí.
Box, G. E., Jenkins, G. M., Reinsel, G. C., & Ljung, G. M. (2015). Time series analysis: forecasting and control. John Wiley & Sons.
CHIRPS. (2023). Climate hazards group infrared precipitation with station data. In: SERVIR ClimateSERV.
Dai, A. (2011). Drought under global warming: a review. WIREs Climate Change, 2(1), 45-65. https://doi.org/https://doi.org/10.1002/wcc.81
Do, H. X., Le, T. H., Le, M.-H., Nguyen, D. L., & Do, N. C. (2024). Future Changes in Hydro-Climatic Extremes across Vietnam: Evidence from a Semi-Distributed Hydrological Model Forced by Downscaled CMIP6 Climate Data. Water, 16(5).
FAO. (2017). Vietnam Drought and Saltwater Intrusion 2015–2016.
Gao, Y., Merz, C., Lischeid, G., & Schneider, M. (2018). A review on missing hydrological data processing. Environmental Earth Sciences, 77(2), 47.
Group, W. B. (2019). Vietnam: Toward a safe, clean, and resilient water system. World Bank.
Gruber, A., Scanlon, T., van der Schalie, R., Wagner, W., & Dorigo, W. (2019). Evolution of the ESA CCI Soil Moisture climate data records and their underlying merging methodology. Earth Syst. Sci. Data, 11(2), 717-739. https://doi.org/10.5194/essd-11-717-2019
Gupta, H. V., Kling, H., Yilmaz, K. K., & Martinez, G. F. (2009). Decomposition of the mean squared error and NSE performance criteria: Implications for improving hydrological modelling. Journal of Hydrology, 377(1-2), 80-91.
Hersbach, H., Bell, B., Berrisford, P., Hirahara, S., Horányi, A., Muñoz-Sabater, J., Nicolas, J., Peubey, C., Radu, R., Schepers, D., Simmons, A., Soci, C., Abdalla, S., Abellan, X., Balsamo, G., Bechtold, P., Biavati, G., Bidlot, J., Bonavita, M.,…Thépaut, J.-N. (2020). The ERA5 global reanalysis. Quarterly Journal of the Royal Meteorological Society, 146(730), 1999-2049. https://doi.org/https://doi.org/10.1002/qj.3803
Hyndman, R. J., & Athanasopoulos, G. (2018). Forecasting: principles and practice. OTexts.
IPCC. (2021). Climate Change 2021: The Physical Science Basis.
McKee, T. B., Doesken, N. J., & Kleist, J. (1993). The relationship of drought frequency and duration to time scales. Proceedings of the 8th Conference on Applied Climatology,
Mishra, A. K., & Singh, V. P. (2011). Drought modeling–A review. Journal of Hydrology, 403(1-2), 157-175.
Moriasi, D. N., Arnold, J. G., Van Liew, M. W., Bingner, R. L., Harmel, R. D., & Veith, T. L. (2007). Model evaluation guidelines for systematic quantification of accuracy in watershed simulations. Transactions of the ASABE, 50(3), 885-900.
Seneviratne, S. I., Zhang, X., Adnan, M., Badi, W., Dereczynski, C., Di Luca, A., Ghosh, S., Iskandar, I., Kossin, J., Lewis, S., Otto, F., Pinto, I., Satoh, M., Vicente-Serrano, S. M., Wehner, M., & Zhou, B. (2021). Weather and Climate Extreme Events in a Changing Climate Supplementary Material. In V. Masson-Delmotte, P. Zhai, A. Pirani, S. L. Connors, C. Péan, S. Berger, N. Caud, Y. Chen, L. Goldfarb, M. I. Gomis, M. Huang, K. Leitzell, E. Lonnoy, J. B. R. Matthews, T. K. Maycock, T. Waterfield, O. Yelekçi, R. Yu, & B. Zhou (Eds.), Climate Change 2021: The Physical Science Basis. Contribution of Working Group I to the Sixth Assessment Report of the Intergovernmental Panel on Climate Change. Available from https://www.ipcc.ch/
Stedinger, J. (1980). Fitting log normal distributions to hydrologic data. Water Resources Research, 16(3), 481-490.
Stojanovic, M., Liberato, M. L., Sorí, R., Vázquez, M., Phan-Van, T., Duongvan, H., Hoang Cong, T., Nguyen, P. N., Nieto, R., & Gimeno, L. (2020). Trends and extremes of drought episodes in Vietnam sub-regions during 1980–2017 at different timescales. Water, 12(3), 813.
Svoboda, M. D., & Fuchs, B. A. (2016). Handbook of drought indicators and indices (Vol. 2). World Meteorological Organization Geneva, Switzerland.
Todini, E. (2007). Hydrological catchment modelling: past, present and future. Hydrology and Earth System Sciences, 11(1), 468-482.
Van Tra, T., Thinh, N. X., & Greiving, S. (2018). Combined top-down and bottom-up climate change impact assessment for the hydrological system in the Vu Gia-Thu Bon River Basin. Science of The Total Environment, 630, 718-727.
Vicente-Serrano, S. M., Beguería, S., & López-Moreno, J. I. (2010). A multiscalar drought index sensitive to global warming: the standardized precipitation evapotranspiration index. Journal of climate, 23(7), 1696-1718.
Vicente-Serrano, S. M., Peña-Angulo, D., Beguería, S., Domínguez-Castro, F., Tomás-Burguera, M., Noguera, I., Gimeno-Sotelo, L., & El Kenawy, A. (2022). Global drought trends and future projections. Philos Trans A Math Phys Eng Sci, 380(2238), 20210285. https://doi.org/10.1098/rsta.2021.0285
Vu, M., Vo, N., Gourbesville, P., Raghavan, S., & Liong, S.-Y. (2017). Hydro-meteorological drought assessment under climate change impact over the Vu Gia–Thu Bon river basin, Vietnam. Hydrological Sciences Journal, 62(10), 1654-1668.
WMO. (2021). 2021 State of Climate Services: Water.
Zargar, A., Sadiq, R., Naser, B., & Khan, F. I. (2011). A review of drought indices. Environmental Reviews, 19(NA), 333-349.