Banner trang chủ
Thứ Tư, ngày 10/12/2025

Đánh giá chất lượng nước sông Đáy đoạn chảy qua huyện Kim Bảng, tỉnh Hà Nam trong 6 tháng cuối năm 2024 theo chỉ số chất lượng nước (WQI)

08/12/2025

Tóm tắt

    ​Trong những năm gần đây, sông Đáy đang chịu áp lực ngày càng lớn từ các hoạt động phát triển kinh tế - xã hội. Vì vậy, nghiên cứu này được thực hiện nhằm đánh giá chất lượng nước sông Đáy đoạn chảy qua huyện Kim Bảng, tỉnh Hà Nam trong 6 tháng cuối năm 2024 bằng chỉ số chất lượng nước (Water Quality Index - WQI). Nghiên cứu sử dụng các phương pháp: Lấy mẫu, phân tích mẫu; tính toán chỉ số chất lượng nước (WQI); thành lập bản đồ phân vùng chất lượng nước. Kết quả cho thấy chất lượng nước sông Đáy đoạn chảy qua huyện Kim Bảng, tỉnh Hà Nam trong năm 2024 ở mức trung bình và kém, với giá trị WQI của hai đợt quan trắc dao động từ 36,9–59,2 (đợt 1) và từ 34,7–74,8 (đợt 2), nước có dấu hiệu ô nhiễm hữu cơ và kim loại nặng. Nghiên cứu góp phần cung cấp cơ sở khoa học cho công tác kiểm soát các nguồn gây ô nhiễm môi trường nước sông Đáy từ các hoạt động kinh tế - xã hội trên địa bàn.

Từ khóa: Sông Đáy, Huyện Kim Bảng, Hà Nam, chỉ số chất lượng nước (WQI).

Ngày nhận bài: 6/10/2025; Ngày sửa chữa: 29/10/2025Ngày duyệt đăng: 9/11/2025.    

 

ASSESSMENT OF DAY RIVER WATER QUALITY IN KIM BẢNG DISTRICT, HÀ NAM PROVINCE, DURING THE SECOND HALF OF 2024 USING THE WATER QUALITY INDEX (WQI)

Abstract

    In recent years, the Day River has come under increasing pressure from socioeconomic development activities. Therefore, this study was conducted to assess the water quality of the section of the Day River flowing through Kim Bang District, Ha Nam Province during the second half of 2024 using the Water Quality Index (WQI). The study employed methods including water sampling, laboratory analysis, WQI calculation, and the creation of water-quality zoning maps. The results indicate that water quality in this section in 2024 was classified as moderate to poor, with WQI values ranging from 36.9 to 59.2 (the first sampling period) and 34.7–74.8 (the second sampling period). The water showed signs of organic contamination and heavy-metal pollution. This study provides a scientific basis for monitoring and controlling pollution sources from socioeconomic activities that affect the Day River’s water quality in the area.

Keywwords: Day river, Kim Bang district, Ha Nam province, water quality index (WQI).

JEL Classifications: P18, Q51, Q53

1. Mở đầu

    Nước là một nguồn tài nguyên thiết yếu, đóng vai trò quan trọng đối với sự tồn tại của con người và sự phát triển kinh tế - xã hội bền vững. Trong bối cảnh đô thị hóa và công nghiệp hóa mạnh mẽ, chất lượng nước mặt tại nhiều khu vực trên cả nước đang có xu hướng suy giảm, gây ảnh hưởng trực tiếp đến sức khỏe cộng đồng và hệ sinh thái thủy sinh.

    Sông Đáy là con sông chính trong hệ thống sông Nhuệ – sông Đáy, nằm ở phía Tây Nam đồng bằng sông Hồng. Đây là phân lưu quan trọng của sông Hồng, chảy qua địa phận tỉnh Hà Nam với tổng chiều dài khoảng 47,6 km, trong đó đoạn sông nằm hoàn toàn trong địa giới hành chính huyện Kim Bảng dài khoảng 22,3 km. Ngoài việc cung cấp nước phục vụ cho tưới tiêu, nuôi trồng thuỷ sản, vận tải, sinh hoạt trên địa bàn, sông Đáy còn có vai trò phân lũ, tiêu thoát nước cho khu vực, đóng vai trò quan trọng trong chiến lược phát triển của tỉnh Hà Nam nói chung và huyện Kim Bảng nói riêng. Những năm gần đây, sông Đáy đang chịu áp lực ngày càng lớn từ các hoạt động phát triển kinh tế - xã hội, đặc biệt là từ các khu, cụm công nghiệp, hoạt động khai thác - chế biến khoáng sản và sinh hoạt dân cư, khiến nhiều đoạn sông đã bị ô nhiễm ở mức đáng báo động. Trước thực trạng đó, việc đánh giá chất lượng nước sông Đáy một cách toàn diện và có hệ thống là hết sức cần thiết nhằm xác định mức độ ô nhiễm, nhận diện nguyên nhân và đề xuất các giải pháp quản lý phù hợp.

    Chỉ số WQI là công cụ hữu hiệu giúp quy đổi các thông số chất lượng nước riêng lẻ thành một giá trị tổng hợp duy nhất, phản ánh toàn diện chất lượng của nguồn nước. Chỉ số chất lượng nước WQI đã được sử dụng phổ biến ở các nước trên thế giới (Hoa Kỳ, Canada, Châu Âu, Ấn Độ...) trong việc đánh giá chất lượng nước các ao, hồ, sông suối. Ở Việt Nam, việc đánh giá chất lượng nước theo chỉ số WQI được thực hiện theo Quyết định số 1460/QĐ-TCMT ngày 12/11/2019 của Tổng cục Môi trường về việc ban hành hướng dẫn kỹ thuật tính toán và công bố chỉ số chất lượng nước Việt Nam (VN_WQI) với dữ liệu phân tích của 5 nhóm thông số chất lượng nước.

    Trên cơ sở đó, rất nhiều nghiên cứu trong nước đã sử dụng chỉ số WQI để đánh giá chất lượng nước mặt tại các lưu vực sông. Nguyễn Ngọc Trinh và cộng sự (2023) sử dụng WQI cho sông Bảo Định (TP. Tân An) với ba nhóm thông số (pH, các chỉ tiêu hữu cơ - dinh dưỡng và Coliform), cho thấy nước tại khu dân cư bị ô nhiễm cao hơn khu vực khác. Nghiên cứu đánh giá chất lượng nước mặt tại TP. Hải Phòng năm 2021 của tác giả Lê Thị Hồng Vân và cộng sự (2022) nhận thấy chất lượng nước ở các quận nội thành thấp hơn các quận huyện khác, với 31,3% vị trí có chất lượng tốt và 8,8% ở mức kém. Trong khi đó, nghiên cứu của Cao Trường Sơn và cộng sự (2019) trên hệ thống sông Cầu Bây – Thiên Đức – Đuống (Hà Nội) cho thấy sông Đuống có WQI trung bình (51,05), còn hai sông còn lại ở mức xấu. Nghiên cứu đánh giá diễn biến chất lượng nước theo chỉ số WQI tại lưu vực sông Nhuệ - sông Đáy đoạn chảy qua tỉnh Hà Nam giai đoạn 2021-2023 của tác giả Nguyễn Thị Linh Giang và cộng sự (2024) đã cho thấy môi trường nước sông tại khu vực nghiên cứu hầu hết bị ô nhiễm bởi chất dinh dưỡng và chất hữu cơ.

    Trong nghiên cứu này, chỉ số chất lượng nước WQI được sử dụng làm công cụ tổng hợp và đánh giá chất lượng nước mặt của đoạn sông Đáy chảy qua huyện Kim Bảng trong 6 tháng cuối năm 2024. Sông Đáy đoạn chảy qua huyện Kim Bảng tỉnh Hà Nam hiện nay là nguồn cung cấp nước cho hoạt động nông nghiệp, nuôi trồng thủy sản và tiêu thoát nước cho các địa phương khu vực thượng nguồn, do đó kết quả nghiên cứu này cùng với các dữ liệu quan trắc môi trường nước mặt định kỳ của tỉnh Hà Nam có ý nghĩa trong việc cũng cấp dữ liệu phục vụ cho công tác kiểm soát môi trường nước sông Đáy từ các hoạt động kinh tế - xã hội trên địa bàn.

2. Phương pháp nghiên cứu

2.1. Đối tượng và phạm vi nghiên cứu

    Trong nghiên cứu này, các tác giả tiến hành đánh giá chất lượng nước sông Đáy trong phạm vi địa giới hành chính của huyện Kim Bảng với chiều dài đoạn sông lấy mẫu khoảng 20 km. Các thông số chất lượng nước được lựa chọn để đánh giá gồm thông số nhóm I (pH), thông số nhóm III (Pb, Cu), thông số nhóm IV ( DO, BOD5, COD, N-NH4+, N-NO2-, N-NO3-, P-PO43-), thông số nhóm V (Coliforms).

2.2. Phương pháp nghiên cứu

Phương pháp lấy mẫu và bảo quản mẫu

    Các vị trí lấy mẫu được lựa chọn trên cơ sở khảo sát thực tế dọc theo sông Đáy tại khu vực nghiên cứu. Các vị trí này đặc trưng cho các hoạt động dân sinh, hoạt động nông nghiệp, phát triển kinh tế - xã hội. Theo đó, 5 vị trí lấy mẫu dọc theo đoạn sông được lựa chọn lấy vào 2 đợt tháng 7/2024 và tháng 11/2024. Tọa độ của các vị trí lấy mẫu được thể hiện tại Bảng 1. Quy trình quan trắc lấy mẫu tuân thủ theo Thông tư số 10/2021/TT-BTNMT quy định kỹ thuật quan trắc môi trường và quản lý thông tin, dữ liệu quan trắc chất lượng môi trường. Phương pháp lấy mẫu, bảo quản và vận chuyển mẫu về phòng thí nghiệm được thực hiện theo TCVN 6663-6:2018 Chất lượng nước - Lấy mẫu - Phần 6: hướng dẫn lấy mẫu nước sông và suối.

Bảng 1. Vị trí tọa độ các điểm lấy mẫu

STT

Vị trí lấy mẫu

Ký hiệu

Tọa độ (N, E)

Đặc điểm vị trí lấy mẫu

1

Xã Thuỵ Lôi

NM1

20°35'48"N 105°50'37"E

Khu vực gần vùng trồng hoa màu, có hoạt động giao thông thủy và đánh bắt cá.

2

Xã Khả

Phong

NM2

20°35'20"N 105°50'09"E

Khu vực dân cư đông đúc, có hoạt động chăn nuôi gia cầm, trồng hoa màu và khai thác thủy sản.

3

Xã Ngọc Sơn

NM3

20°34'42"N 105°50'30"E

Khu vực có dân cư sinh sống, có các bãi đốt rác tự phát ven sông, có hoạt động chăn nuôi gia súc và đánh bắt cá.

4

Xã Liên Sơn

NM4

20°34'09"N 105°51'02"E

Khu vực có dân cư sinh sống, có hoạt động chăn nuôi gia cầm quy mô nhỏ.

5

Thị trấn Quế

NM5

20°34'26"N 105°52'08"E

Khu vực có bãi rác đốt tự phát, có cơ sở sản xuất gốm, hoạt động giao thông thủy và đánh bắt cá.

Phương pháp phân tích mẫu

    Các thông số đo nhanh: pH, nhiệt độ nước, DO, được tiến hành đo ngay tại hiện trường bằng thiết bị đo nhanh đa chỉ tiêu Hach-HQ 440d.

    Các chỉ tiêu phân tích trong phòng thí nghiệm được thực hiện theo phương pháp quy định tại QCVN 08:2023/BTNMT của Bộ Tài nguyên và Môi trường. Cụ thể: Kim loại nặng Pb, Cu được phân tích bằng phương pháp phổ hấp thụ nguyên tử (SMEWW 311B:2017), BOD5 được phân tích theo phương pháp pha loãng và cấy có bổ sung Allthiourea (TCVN 6001-1:2008), COD được phân tích theo phương pháp chuẩn độ đicromat (TCVN 6491:1999), N-NH4+ được phân tích theo phương pháp so màu với thuốc thử indolphenol (SMEWW 4500-NH3: 2017), N-NO2- được phân tích theo phương pháp so màu  sử dụng thuốc thử 4-aminobenzen sufonamid (TCVN 6178:1996); N-NO3- được phân tích theo phương pháp so màu với thuốc thử sunfosalixylic (TCVN 6180 : 1996), P-PO43- được phân tích theo phương pháp so màu với thuốc thử molipdat (TCVN 6202:2008), Coliform theo kỹ thuật đếm có xác suất lớn nhất (TCVN 6187-2:2020).

Phương pháp đánh giá chất lượng nước theo chỉ số chất lượng nước WQI

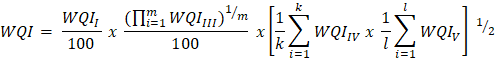
    Với 4 nhóm thông số được lựa chọn để đánh giá chất lượng nước, theo Quyết định số 1460/QĐ-TCMT ngày 12/11/2019 của Tổng cục Môi trường về việc ban hành hướng dẫn kỹ thuật tính toán và công bố chỉ số chất lượng nước Việt Nam (VN_WQI), WQI cuối cùng theo công thức:

    Trong đó:

    WQII: Giá trị WQI đã tính toán đối với thông số nhóm I.

    WQIIII: Giá trị WQI đã tính toán đối với thông số nhóm III.

    WQIIV: Giá trị WQI đã tính toán đối với thông số nhóm IV.

    WQIV: Giá trị WQI đã tính toán đối với thông số nhóm V.

    Chỉ số chất lượng nước được tính theo thang điểm (khoảng giá trị WQI) tương ứng với biểu tượng và các màu sắc để đánh giá chất lượng nước đáp ứng cho nhu cầu sử dụng (Tổng cục Môi trường, 2019), cụ thể như sau:

Bảng 2. Bảng giá trị đánh giá chất lượng nước theo Quyết định số 1460/QĐ-TCMT

WQI

Chất lượng nước

Mức đánh giá chất lượng nước

Màu sắc

91 – 100

Rất tốt

Sử dụng tốt cho mục đích cấp nước sinh hoạt

Xanh nước biển

76 – 90

Tốt

Sử dụng cho mục đích cấp nước sinh hoạt nhưng cần các biện pháp xử lý phù hợp

Xanh lá cây

51 – 75

Trung bình

Sử dụng cho mục đích tưới tiêu và các mục đích tương đương khác

Vàng

26 – 50

Kém

Sử dụng cho giao thông thủy và các mục đích tương đương khác

Da cam

10 – 25

Ô nhiễm nặng

Nước ô nhiễm nặng, cần các biện pháp xử lý trong tương lai

Đỏ

<10

Ô nhiễm rất nặng

Nước nhiễm độc, cần có biện pháp khắc phục, xử lý

Nâu

Phương pháp thành lập bản đồ phân vùng chất lượng môi trường nước

    Từ kết quả tính toán chỉ số chất lượng nước (WQI) tại 5 vị trí lấy mẫu trong 2 đợt quan trắc, phần mềm ArcGIS 10.8 được sử dụng để xây dựng bản đồ phân vùng chất lượng nước sông Đáy. Bản đồ này cho phép xác định rõ sự biến đổi không gian của chất lượng nước, khoanh vùng các khu vực bị ô nhiễm cũng như đánh giá mức độ ô nhiễm theo từng đoạn sông

3. Kết quả và thảo luận

3.1. Kết quả phân tích chất lượng nước

    Kết quả phân tích các chỉ tiêu chất lượng nước tại 5 vị trí quan trắc được thể hiện trên Hình 1. Hàm lượng oxy hòa tan (DO) ở cả hai đợt quan trắc đều cao hơn giới hạn quy định trong QCVN 08:2023/BTNMT, dao động từ 5,48 – 7,17 mg/L (đợt 1) và 5,74 – 6,13 mg/L (đợt 2), cho thấy khả năng tự làm sạch của sông ở mức tương đối tốt.

    Giá trị BOD₅ tại các điểm quan trắc dao động từ 14–24 mg/L, vượt 2–4 lần giới hạn cho phép (6 mg/L) theo QCVN 08:2023/BTNMT, phản ánh nguồn nước mặt đoạn sông Đáy qua huyện Kim Bảng bị ô nhiễm hữu cơ rõ rệt. Sự biến động giữa hai đợt quan trắc cho thấy ảnh hưởng của hoạt động nông nghiệp và xả thải sinh hoạt cục bộ, làm tăng tải lượng chất hữu cơ dễ phân hủy, giảm khả năng tự làm sạch của sông và có thể gây mất cân bằng oxy hòa tan trong nước.

    Nồng độ PO43- có sự khác biệt rõ giữa hai đợt quan trắc, với trung bình 0,382 mg/L ở đợt 1 và 0,221 mg/L ở đợt 2. Sự chênh lệch này có thể liên quan đến hoạt động nông nghiệp (bón phân, rửa trôi) và điều kiện thủy văn từng thời điểm. Đối với NO3, kết quả phân tích ở đợt 2 cao hơn đợt 1 từ 4,1 – 5,6 lần, trong khi nồng độ NO2 cũng tăng từ 1,2 – 1,7 lần, phản ánh khả năng gia tăng do quá trình sự xâm nhập của nguồn nước thải sinh hoạt có chứa nitơ chưa được xử lý.

    Giá trị NH₄⁺-N (amoni) tại các điểm quan trắc dao động từ 0,057–0,193 mg/L, trong đó đợt 2 cao hơn rõ rệt so với đợt 1. Sự gia tăng này cho thấy nguồn nước đang chịu tác động từ các hoạt động sinh hoạt và nông nghiệp, đặc biệt là nước thải chứa hợp chất nitơ chưa được xử lý triệt để. Mức amoni tuy chưa vượt ngưỡng gây ô nhiễm nghiêm trọng, nhưng xu thế tăng ở tất cả các điểm cho thấy quá trình tích lũy dinh dưỡng trong sông, có nguy cơ dẫn đến phú dưỡng cục bộ nếu không được kiểm soát.

    Hàm lượng Cu tại các điểm quan trắc vẫn nằm trong giới hạn an toàn, dao động trong khoảng 0,02–0,09 mg/L, thấp hơn giới hạn cho phép 0,1 mg/L theo QCVN 08:2023/BTNMT, cho thấy nguồn nước mặt đoạn sông Đáy qua huyện Kim Bảng chưa bị ô nhiễm kim loại nặng đáng kể. Tuy nhiên, hàm lượng Pb lại vượt giới hạn đáng kể ở hầu hết các vị trí, ngoại trừ vị trí NM4 ở đợt quan trắc thứ 2 (0,012 mg/L). Các điểm còn lại có giá trị Pb cao hơn quy chuẩn từ 1,5 đến 9 lần, cho thấy hiện tượng ô nhiễm kim loại nặng cục bộ.

 

Hình 1. Kết quả phân tích chỉ tiêu chất lượng nước tại khu vực nghiên cứu

    Tổng hợp kết quả so sánh với QCVN 08:2023/BTNMT cho thấy nguồn nước sông Đáy đoạn chảy qua huyện Kim Bảng có dấu hiệu ô nhiễm bởi các chất hữu cơ và kim loại Pb. Nguyên nhân có thể xuất phát từ hoạt động của các cụm công nghiệp, cơ sở sản xuất thủ công, xả thải sinh hoạt, cũng như hoạt động giao thông thủy và nông nghiệp tại khu vực ven sông.

3.2. Đánh giá chất lượng nước sử dụng chỉ số chất lượng nước WQI

    Từ kết quả phân tích các thông số chất lượng nước sông Đáy đoạn chảy qua huyện Kim Bảng, tỉnh Hà Nam, chỉ số đánh giá chất lượng nước WQI của 2 đợt quan trắc tháng 7 và tháng 11 năm 2024 được tính toán và trình bày trong bảng 3.

Bảng 3. Kết quả tính toán chỉ số WQI nước sông Đáy đoạn chảy qua huyện Kim Bảng tỉnh Hà Nam 

Chỉ số đánh giá

Đợt

Vị trí quan trắc (NM)

NM1

NM2

NM3

NM4

NM5

WQI

1

(7/2024)

34

35

34

74

35

Màu sắc

Da cam

Da cam

Da cam

Vàng

Da cam

WQI

2

(11/2024)

61

35

34

36

35

Màu sắc

Vàng

Da cam

Da cam

Da cam

Da cam

    Kết quả tính toán chỉ số WQI tại 5 vị trí quan trắc trong hai đợt (tháng 7 và tháng 11 năm 2024) cho thấy chất lượng nước sông Đáy đoạn chảy qua huyện Kim Bảng nhìn chung ở mức kém, nhiều vị trí có dấu hiệu ô nhiễm nhẹ đến trung bình.

Hình 2. Giá trị WQI tại 02 đợt quan trắc (năm 2024)

    Trong đợt quan trắc tháng 7/2024, phần lớn các vị trí (NM1, NM2, NM3, NM5) có giá trị WQI dao động từ 34 – 74, nằm trong mức xấu, không phù hợp cho các mục đích cấp nước sinh hoạt chỉ có thể sử dụng cho giao thông thủy hoặc các mục đích tương tự. Chỉ có vị trí NM4 (WQI = 74) đạt mức trung bình, chỉ có thể sử dụng cho một số mục đích sau khi được xử lý thích hợp. Sự khác biệt này có thể xuất phát từ đặc điểm dòng chảy, khu vực ít có nguồn thải và khả năng tự làm sạch tốt hơn tại vị trí NM4, nơi ít chịu ảnh hưởng từ khu dân cư tập trung hoặc nguồn thải công nghiệp trực tiếp.

Hình 3. Bản đồ phân vùng chất lượng nước sông Đáy đoạn chảy qua huyện Kim Bảng, tỉnh Hà Nam (Đợt quan trắc tháng 7/2024)

    Trong đợt quan trắc tháng 11/2024, chất lượng nước tại vị trí NM1 có sự cải thiện rõ rệt (WQI = 61, mức trung bình) trong khi các vị trí còn lại NM2, NM3, NM4, NM5 vẫn duy trì ở mức xấu, dao động từ 34 – 36. Chất lượng nước tại vị trí NM1 có sự cải thiện đáng kể có thể liên quan đến điều kiện thủy văn thuận lợi vào giai đoạn cuối mùa mưa – đầu mùa khô, khi lưu lượng dòng chảy vẫn còn tương đối lớn, giúp pha loãng một phần các chất ô nhiễm hữu cơ và dinh dưỡng. Tuy nhiên, việc các vị trí khác không có nhiều thay đổi cho thấy ảnh hưởng của các nguồn thải tại chỗ như nước thải sinh hoạt, nước thải công nghiệp và hoạt động khai thác khoáng sản vẫn chi phối mạnh đến chất lượng nước, đặc biệt ở khu vực giữa và hạ lưu đoạn sông nghiên cứu.

Hình 4. Bản đồ phân vùng chất lượng nước sông Đáy đoạn chảy qua huyện Kim Bảng, tỉnh Hà Nam (Đợt quan trắc tháng 11/2024)

    Nhìn chung, sông Đáy đoạn chảy qua huyện Kim Bảng đang chịu áp lực ô nhiễm chủ yếu từ nước thải sinh hoạt, nước thải công nghiệp và hoạt động khai thác khoáng sản dọc hai bờ sông. Một số khu vực có hiện tượng tích tụ bùn thải và chất hữu cơ, làm giảm khả năng tự làm sạch của nguồn nước, dẫn đến giá trị WQI thấp và có sự chênh lệch rõ giữa các vị trí quan trắc.

    Như vậy, kết quả đánh giá chất lượng nước theo chỉ số WQI cho thấy tình trạng ô nhiễm nước sông Đáy đoạn chảy qua huyện Kim Bảng mang tính cục bộ nhưng có xu hướng lan rộng. Điều này đòi hỏi cần tăng cường công tác quan trắc định kỳ, kiểm soát chặt chẽ các nguồn thải từ khu, cụm công nghiệp và khu dân cư ven sông, đồng thời triển khai các biện pháp cải thiện chất lượng nước mặt trong thời gian tới.

    So sánh giá trị WQI tại khu vực nghiên cứu với giá trị WQI tại các vị trí Cầu phao Tân Lang – Tân Sơn và Nhà máy nước Thanh Sơn thuộc huyện Kim Bảng trung bình trong 3 năm 2021; 2022 và 2023.

Bảng 4. Kết quả tính toán chỉ số WQI nước sông Đáy đoạn chảy qua huyện Kim Bảng, tỉnh Hà Nam 

Chỉ số đánh giá WQI

Vị trí quan trắc

Cầu phao Tân Lang – Tân Sơn

Nhà máy nước Thanh Sơn

2021

77

73

2022

78

71

2023

83

80

(Nguồn: Nguyễn Thị Linh Giang, 2024)

    Giá trị WQI tại thời điểm đánh giá 6 tháng cuối năm 2024 cho thấy có xu hướng giảm so với trung bình các năm 2021 đến năm 2023. Điều này phản ánh sự gia tăng áp lực của các hoạt động phát triển kinh tế xã hội tại khu vực đối với nguồn nước. Tuy nhiên sự thay đổi về giá trị WQI giữa 2 nghiên cứu do dữ liệu đầu vào chưa đồng nhất. Trong nghiên cứu của Nguyễn Thị Linh Giang (2024), WQI được xác định dựa trên 03 nhóm thông số gồm: nhóm I (pH); IV (chất hữu cơ và dinh dưỡng); V (vi sinh vật). Bộ thông số này phản ánh chủ yếu mức độ ô nhiễm hữu cơ và nguy cơ ô nhiễm vi sinh nhưng không xem xét đến sự hiện diện của các kim loại nặng trong môi trường nước. Ngược lại, nghiên cứu hiện tại đã sử dụng bộ thông số mở rộng, trong đó ngoài các nhóm I, IV và V, còn bổ sung thêm nhóm III (Kim loại nặng). Việc tích hợp nhóm III vào tính toán WQI cho phép đánh giá toàn diện hơn về chất lượng nước, Các dữ liệu từ nhóm III đóng vai trò quan trọng trong việc làm giảm giá trị WQI tổng hợp, qua đó chỉ ra rằng ô nhiễm kim loại nặng đã trở thành yếu tố chi phối chất lượng nước sông Đáy tại khu vực nghiên cứu. Điều này nhấn mạnh sự cần thiết phải bổ sung hoạt động quan trắc thông số kim loại nặng (nhóm III) trong các chương trình quan trắc môi trường nước mặt tại địa phương. Đặc biệt trong bối cảnh khu vực huyện Kim Bảng tồn tại nhiều hoạt động khai thác khoáng sản và công nghiệp có nguy cơ phát thải kim loại nặng ra môi trường.

3.3. Đề xuất một số giải pháp cải thiện chất lượng nước sông Đáy

    Tăng cường quản lý và kiểm soát nguồn thải: Giám sát thường xuyên hoạt động xả thải của các cơ sở sản xuất, cụm công nghiệp và nguồn thải sinh hoạt ven sông; yêu cầu xử lý đạt quy chuẩn trước khi xả ra môi trường.

    Duy trì và mở rộng chương trình quan trắc chất lượng nước: Theo dõi định kỳ để kịp thời phát hiện các biến động về chất lượng nước, kết hợp ứng dụng công nghệ GIS và viễn thám trong cảnh báo sớm và hỗ trợ quản lý ô nhiễm hiệu quả.

    Nâng cao nhận thức cộng đồng: Đẩy mạnh tuyên truyền về bảo vệ nguồn nước, khuyến khích sử dụng hợp lý phân bón, hóa chất bảo vệ thực vật là các nguồn phát sinh kim loại nặng vào môi trường nước.

4. Kết luận

    Kết quả nghiên cứu cho thấy chất lượng nước sông Đáy đoạn chảy qua huyện Kim Bảng, tỉnh Hà Nam trong năm 2024 còn ở mức kém theo chỉ số WQI. Các thông số DO và NH4+ đều nằm trong giới hạn cho phép, phản ánh khả năng tự làm sạch của sông, trong khi BOD5 thấp nhưng COD vượt giới hạn nhiều lần, chỉ ra sự hiện diện của các chất hữu cơ khó phân hủy. Nồng độ PO43-, NO2- và NO3- biến động giữa các đợt quan trắc, phản ánh tác động từ hoạt động nông nghiệp, công nghiệp và nguồn thải sinh hoạt. Ô nhiễm kim loại nặng cục bộ vẫn đáng lo ngại, đặc biệt là nồng độ Pb vượt quy chuẩn tại hầu hết vị trí quan trắc. Bên cạnh kết quả đã đạt được, nghiên cứu vẫn tồn tại một số hạn chế như số lượng vị trí quan trắc còn hạn chế, nghiên cứu mới chỉ thực hiện hai đợt quan trắc cuối năm, và chưa phân tích sâu các nguồn thải cụ thể, dẫn đến khó đánh giá toàn bộ diễn biến ô nhiễm theo thời gian. Một số giải pháp được nhóm nghiên cứu đề xuất gồm tăng cường quản lý và kiểm soát nguồn thải; duy trì và mở rộng chương trình quan trắc chất lượng nước; nâng cao nhận thức cộng đồng nhằm giảm thiểu ô nhiễm tại khu vực nghiên cứu.

Lê Văn Sơn, Lê Ngọc Thuấn, Kiều Thị Thu Trang

Trường Đại học Tài nguyên và Môi trường Hà Nội

(Nguồn: Bài đăng trên Tạp chí Môi trường số Chuyên đề Khoa học - Công nghệ IV/2025)

TÀI LIỆU THAM KHẢO

1. Bộ Tài nguyên và Môi trường (2023), QCVN 08:2023/BTNMT - Quy chuẩn kỹ thuật Quốc gia về chất lượng nước mặt.

2. Cao Trường Sơn, Phạm Trung Đức, Nguyễn Minh Anh, Nguyễn Thị Ánh Huyền, Đàm Quang Thiện (2019), Đánh giá chất lượng nước một số sông trên địa bàn huyện Gia Lâm sử dụng chỉ số chất lượng nước - WQI, Tạp chí Khoa học và Công nghệ Đại học Thái Nguyên, 133–140.

3. Lê Thị Hồng Vân, Lê Thị Hường, Nguyễn Thị Kim Nga, Trịnh Thị Thu Thủy (2022), Đánh giá chất lượng nước mặt trên địa bàn TP. Hải Phòng năm 2021 bằng phương pháp tính toán chỉ số chất lượng nước, Tạp chí môi trường, 26-32.

4. Nguyễn Ngọc Trinh, Nguyễn Hoàng Đức Thịnh, Nguyễn Thị Quỳnh Thu, Phạm Thị Diễm Phương, Lê Thị Kim Thoa, Cấn Thu Văn (2023), Ứng dụng chỉ số WQI để đánh giá hiện trạng chất lượng nước mặt sông Bảo Định đoạn chảy qua thành phố Tân An, Tạp chí Khí tượng Thủy văn, (44), 28-38.

5. Nguyễn Thị Linh Giang, Đỗ Thị Hiền, Lại Thị Ngọc Huyền (2024), Đánh giá diễn biến chất lượng nước theo chỉ số WQI tại lưu vực sông Nhuệ - Đáy đoạn chảy qua tỉnh Hà Nam giai đoạn 2021-2023, Tạp chí Khoa học Tài nguyên và Môi trường, (53), 59-68.

6. Thông tư số 10/2021/BTNMT – Thông tư quy định kỹ thuật quan trắc môi trường và quản lý thông tin, dữ liệu quan trắc chất lượng môi trường ngày 30 tháng 6 năm 2021.

7. Tổng cục Môi trường (2019), Quyết định số 1460/QĐ-TCMT về việc ban hành hướng dẫn kỹ thuật tính toán và công bố chỉ số chất lượng nước Việt Nam (VN_WQI).

Ý kiến của bạn